电脑桌面
添加学科云到电脑桌面
安装后可以在桌面快捷访问

湘教版初中数学七年级下册知识点-幂的运算(基础)巩固练习.docx

湘教版初中数学七年级下册知识点-幂的运算(基础)巩固练习.docx_第1页
1/3
湘教版初中数学七年级下册知识点-幂的运算(基础)巩固练习.docx_第2页
2/3
湘教版初中数学七年级下册知识点-幂的运算(基础)巩固练习.docx_第3页
3/3
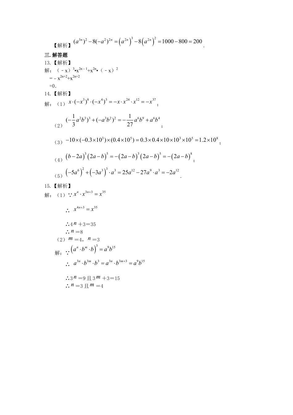
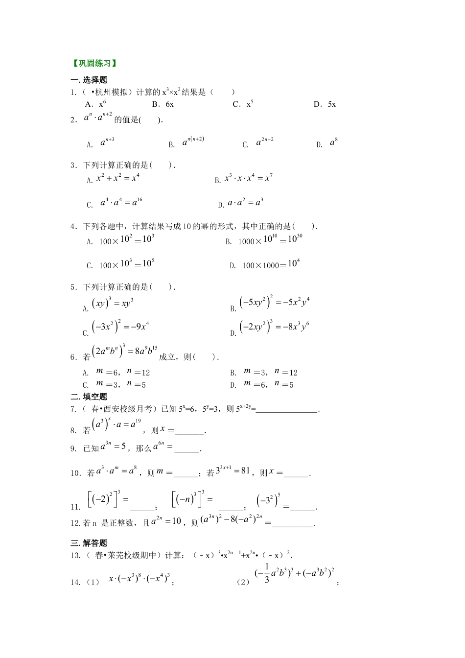
【巩固练习】一.选择题1.( •杭州模拟)计算的 x3×x2结果是( ) A.x6B.6xC.x5D.5x2.的值是( ).A. B. C. D. 3.下列计算正确的是( ).A. B. C. D.4.下列各题中,计算结果写成 10 的幂的形式,其中正确的是( ).A. 100×= B. 1000×= C. 100×= D. 100×1000= 5.下列计算正确的是( ).A.B.C.D.6.若成立,则( ).A....

1、当您付费下载文档后,您只拥有了使用权限,并不意味着购买了版权,文档只能用于自身使用,不得用于其他商业用途(如 [转卖]进行直接盈利或[编辑后售卖]进行间接盈利)。
2、本站所有内容均由合作方或网友上传,本站不对文档的完整性、权威性及其观点立场正确性做任何保证或承诺!文档内容仅供研究参考,付费前请自行鉴别。
3、如文档内容存在违规,或者侵犯商业秘密、侵犯著作权等,请点击“违规举报”。

1.电子资料成功下载后不支持退换,如发现资料有内容错误问题请联系客服,如若属实,我们会补偿您的损失

2.压缩包下载后请先用软件解压,再使用对应软件打开;软件版本较低时请及时更新

3.资料下载成功后可在60天以内免费重复下载


湘教版初中数学七年级下册知识点-幂的运算(基础)巩固练习.docx

确认删除?
回到顶部
QQ客服
  • 天空点击这里给我发消息