电脑桌面
添加学科云到电脑桌面
安装后可以在桌面快捷访问

八年级数学下册(鲁教版)8.1一元二次方程同步练习题.docx

八年级数学下册(鲁教版)8.1一元二次方程同步练习题.docx_第1页
1/6
八年级数学下册(鲁教版)8.1一元二次方程同步练习题.docx_第2页
2/6
八年级数学下册(鲁教版)8.1一元二次方程同步练习题.docx_第3页
3/6
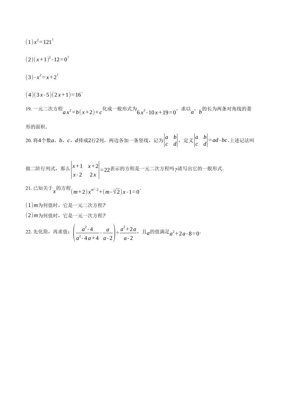
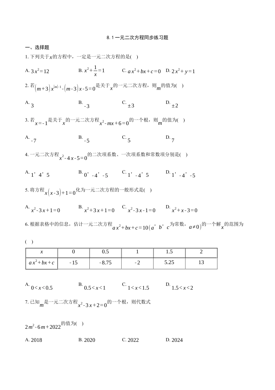
8.1 一元二次方程同步练习题一、选择题1.下列关于x的方程中,一定是一元二次方程的是( )A. 3 x2=12B. x2+ 1x =1C. a x2+bx +c =0D. 2 x2+ y =12.若(m+3)x|m|-1-(m-3)x -5=0是关于x的一元二次方程,则m的值为( )A. 3B. -3C. ±3D. ±23.若x =-1是关于x的一元二次方程x2-mx +6=0的一个根,则m的值为( )A. -7B. -5C. 5D. 74.一元...

1、当您付费下载文档后,您只拥有了使用权限,并不意味着购买了版权,文档只能用于自身使用,不得用于其他商业用途(如 [转卖]进行直接盈利或[编辑后售卖]进行间接盈利)。
2、本站所有内容均由合作方或网友上传,本站不对文档的完整性、权威性及其观点立场正确性做任何保证或承诺!文档内容仅供研究参考,付费前请自行鉴别。
3、如文档内容存在违规,或者侵犯商业秘密、侵犯著作权等,请点击“违规举报”。

1.电子资料成功下载后不支持退换,如发现资料有内容错误问题请联系客服,如若属实,我们会补偿您的损失

2.压缩包下载后请先用软件解压,再使用对应软件打开;软件版本较低时请及时更新

3.资料下载成功后可在60天以内免费重复下载


八年级数学下册(鲁教版)8.1一元二次方程同步练习题.docx

您可能关注的文档

星辰资料铺+ 关注
实名认证
内容提供者

星辰资料铺

确认删除?
回到顶部
QQ客服
  • 天空点击这里给我发消息