电脑桌面
添加学科云到电脑桌面
安装后可以在桌面快捷访问

八年级数学下册(鲁教版)第七章二次根式综合复习导学案  .docx

八年级数学下册(鲁教版)第七章二次根式综合复习导学案  .docx_第1页
1/4
八年级数学下册(鲁教版)第七章二次根式综合复习导学案  .docx_第2页
2/4
八年级数学下册(鲁教版)第七章二次根式综合复习导学案  .docx_第3页
3/4
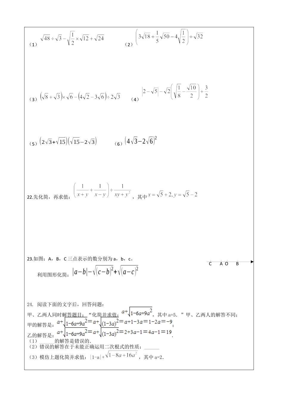
课 题《二次根式综合复习》课 型新授课执笔人 审核人级部审核讲学时间第 4 周第 4 讲学稿教师寄语每一棵小草都有点缀春天的价值。教学目标1. 知识与技能目标:(1)了解二次根式、 最简二次根式、同类二次根式的概念,会辨别最简二次根式和同类二次根式,理解二次根式的性质;(2)能熟练地进行二次根式的化简和二次根式的加减乘除四则运算;(3...

1、当您付费下载文档后,您只拥有了使用权限,并不意味着购买了版权,文档只能用于自身使用,不得用于其他商业用途(如 [转卖]进行直接盈利或[编辑后售卖]进行间接盈利)。
2、本站所有内容均由合作方或网友上传,本站不对文档的完整性、权威性及其观点立场正确性做任何保证或承诺!文档内容仅供研究参考,付费前请自行鉴别。
3、如文档内容存在违规,或者侵犯商业秘密、侵犯著作权等,请点击“违规举报”。

1.电子资料成功下载后不支持退换,如发现资料有内容错误问题请联系客服,如若属实,我们会补偿您的损失

2.压缩包下载后请先用软件解压,再使用对应软件打开;软件版本较低时请及时更新

3.资料下载成功后可在60天以内免费重复下载


八年级数学下册(鲁教版)第七章二次根式综合复习导学案  .docx

您可能关注的文档

星辰资料铺+ 关注
实名认证
内容提供者

星辰资料铺

确认删除?
回到顶部
QQ客服
  • 天空点击这里给我发消息