电脑桌面
添加学科云到电脑桌面
安装后可以在桌面快捷访问

小学数学六年级上-3.2 分数除以整数.docx

小学数学六年级上-3.2 分数除以整数.docx_第1页
1/2
小学数学六年级上-3.2 分数除以整数.docx_第2页
2/2
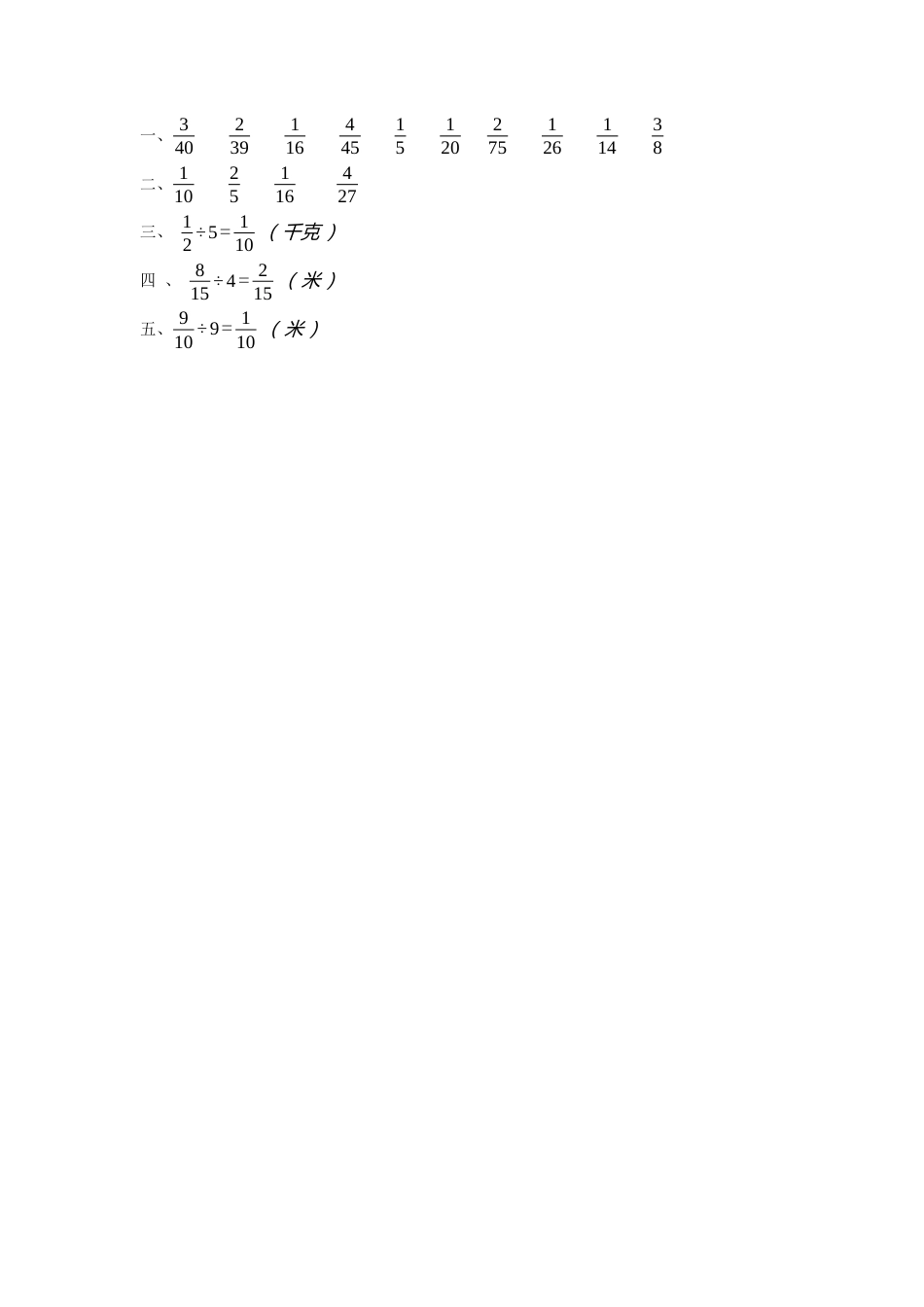
3.2 分数除以整数一 、 38 ÷5= 613 ÷9= 58 ÷10= 815 ÷6= 45 ÷4=310 ÷6= 1425 ÷21= 713 ÷14= 47 ÷8= 34 ÷2=二 、( )×5=12 ( )×2=45 4×( )=14 ( ) ×6=89三、一瓶果酱有12 千克,小明家 5 天吃完,平均每天吃多少千克?四、小明用长为815 米的铁丝围成一个正方形,这个正方形的边长是多少米?五、黎...

1、当您付费下载文档后,您只拥有了使用权限,并不意味着购买了版权,文档只能用于自身使用,不得用于其他商业用途(如 [转卖]进行直接盈利或[编辑后售卖]进行间接盈利)。
2、本站所有内容均由合作方或网友上传,本站不对文档的完整性、权威性及其观点立场正确性做任何保证或承诺!文档内容仅供研究参考,付费前请自行鉴别。
3、如文档内容存在违规,或者侵犯商业秘密、侵犯著作权等,请点击“违规举报”。

1.电子资料成功下载后不支持退换,如发现资料有内容错误问题请联系客服,如若属实,我们会补偿您的损失

2.压缩包下载后请先用软件解压,再使用对应软件打开;软件版本较低时请及时更新

3.资料下载成功后可在60天以内免费重复下载


小学数学六年级上-3.2 分数除以整数.docx

星辰资料铺+ 关注
实名认证
内容提供者

星辰资料铺

确认删除?
回到顶部
QQ客服
  • 天空点击这里给我发消息