电脑桌面
添加学科云到电脑桌面
安装后可以在桌面快捷访问

初中数学八年级上册2026年期末复习系列-专题5.2 一次函数中的规律问题(压轴题专项讲练)(解析版).docx

初中数学八年级上册2026年期末复习系列-专题5.2 一次函数中的规律问题(压轴题专项讲练)(解析版).docx_第1页
1/27
初中数学八年级上册2026年期末复习系列-专题5.2 一次函数中的规律问题(压轴题专项讲练)(解析版).docx_第2页
2/27
初中数学八年级上册2026年期末复习系列-专题5.2 一次函数中的规律问题(压轴题专项讲练)(解析版).docx_第3页
3/27
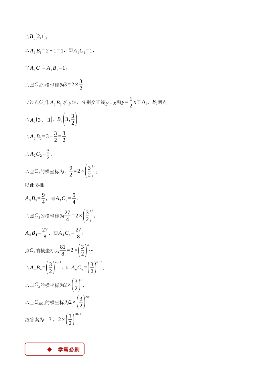
专题 5.2 一次函数中的规律问题 【典例 1】如图,在平面直角坐标系xOy中,点A1(2,2)在直线y = x上,过点A1作A1B1∥ y轴,交直线y = 12 x于点 B,以A1为直角顶点,A1B1为直角边,在A1B1的右侧作等腰直角三角形A1B1C1,再过点C1作A2B2∥ y轴,分别交直线y = x和y = 12 x于A2,B2两点,以A2为直角顶点.A2B2为直角边,在A2B2的右侧作等腰直角...

1、当您付费下载文档后,您只拥有了使用权限,并不意味着购买了版权,文档只能用于自身使用,不得用于其他商业用途(如 [转卖]进行直接盈利或[编辑后售卖]进行间接盈利)。
2、本站所有内容均由合作方或网友上传,本站不对文档的完整性、权威性及其观点立场正确性做任何保证或承诺!文档内容仅供研究参考,付费前请自行鉴别。
3、如文档内容存在违规,或者侵犯商业秘密、侵犯著作权等,请点击“违规举报”。

1.电子资料成功下载后不支持退换,如发现资料有内容错误问题请联系客服,如若属实,我们会补偿您的损失

2.压缩包下载后请先用软件解压,再使用对应软件打开;软件版本较低时请及时更新

3.资料下载成功后可在60天以内免费重复下载


初中数学八年级上册2026年期末复习系列-专题5.2 一次函数中的规律问题(压轴题专项讲练)(解析版).docx

爱学习驿站+ 关注
实名认证
内容提供者

爱学习驿站

确认删除?
回到顶部
QQ客服
  • 天空点击这里给我发消息