电脑桌面
添加学科云到电脑桌面
安装后可以在桌面快捷访问

数学 眉山市县高中24级高一期末联考数学试题.docx

数学 眉山市县高中24级高一期末联考数学试题.docx_第1页
1/7
数学 眉山市县高中24级高一期末联考数学试题.docx_第2页
2/7
数学 眉山市县高中24级高一期末联考数学试题.docx_第3页
3/7
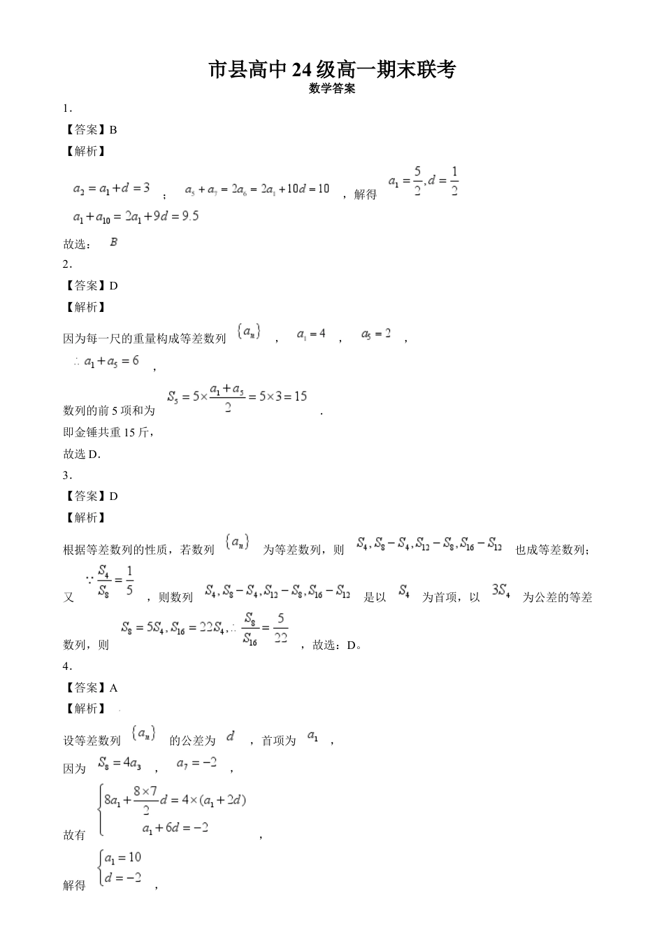
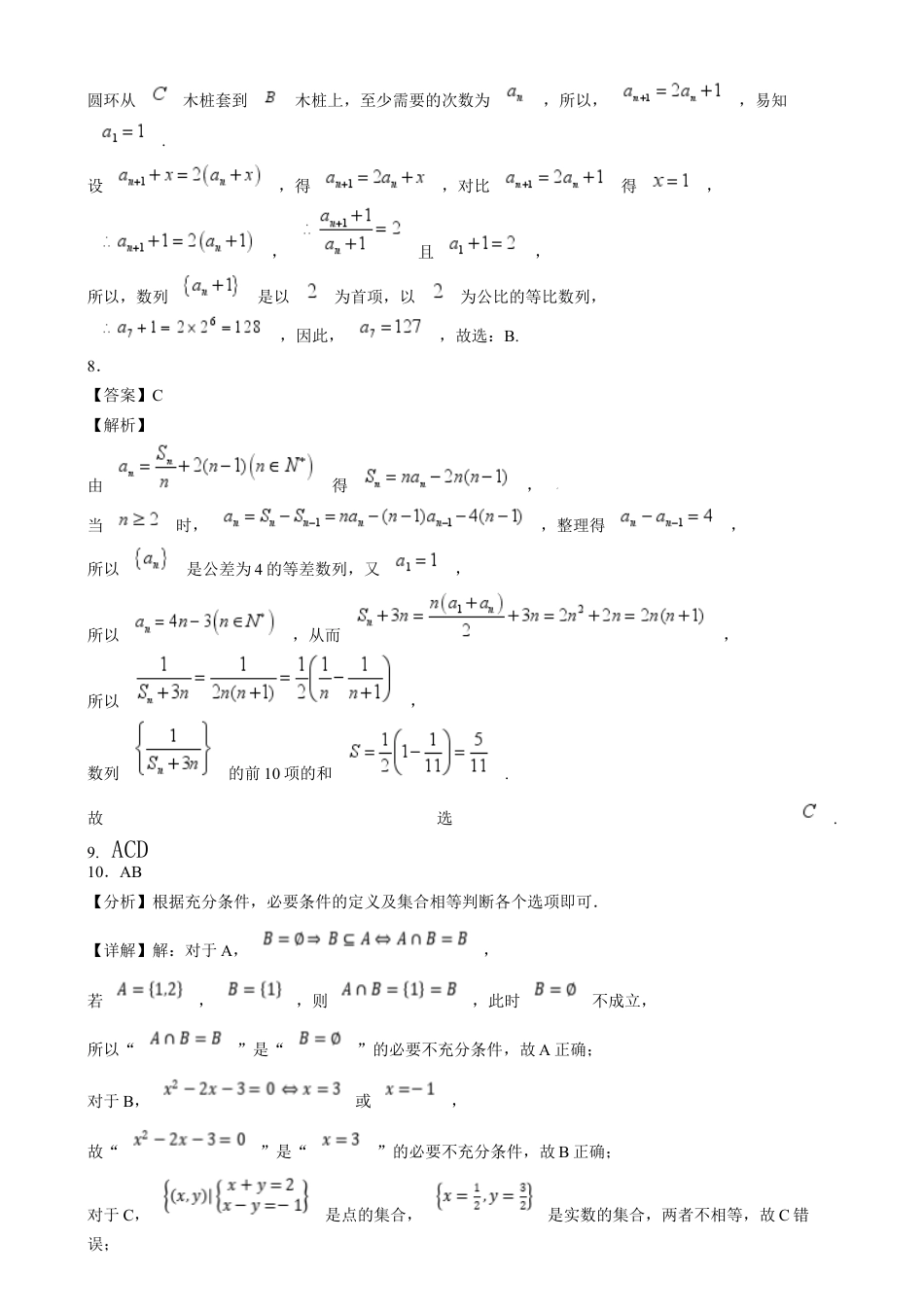
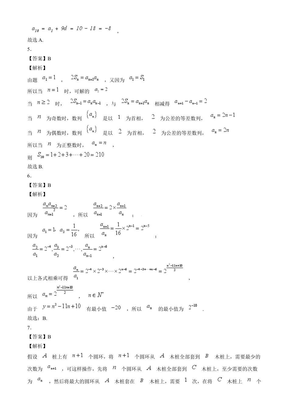
市县高中 24 级高一期末联考数学答案1.【答案】B【解析】;,解得 故选:2.【答案】D【解析】因为每一尺的重量构成等差数列,,,,数列的前 5 项和为.即金锤共重 15 斤,故选 D.3.【答案】D【解析】根据等差数列的性质,若数列为等差数列,则也成等差数列;又,则数列是以为首项,以为公差的等差数列,则,故选:D。4.【答案】A【解析】设...

1、当您付费下载文档后,您只拥有了使用权限,并不意味着购买了版权,文档只能用于自身使用,不得用于其他商业用途(如 [转卖]进行直接盈利或[编辑后售卖]进行间接盈利)。
2、本站所有内容均由合作方或网友上传,本站不对文档的完整性、权威性及其观点立场正确性做任何保证或承诺!文档内容仅供研究参考,付费前请自行鉴别。
3、如文档内容存在违规,或者侵犯商业秘密、侵犯著作权等,请点击“违规举报”。

1.电子资料成功下载后不支持退换,如发现资料有内容错误问题请联系客服,如若属实,我们会补偿您的损失

2.压缩包下载后请先用软件解压,再使用对应软件打开;软件版本较低时请及时更新

3.资料下载成功后可在60天以内免费重复下载


数学 眉山市县高中24级高一期末联考数学试题.docx

您可能关注的文档

星辰资料铺+ 关注
实名认证
内容提供者

星辰资料铺

确认删除?
回到顶部
QQ客服
  • 天空点击这里给我发消息