电脑桌面
添加学科云到电脑桌面
安装后可以在桌面快捷访问

7.4二次根式的乘除同步练习鲁教版(五四制)八年级数学下册.docx

7.4二次根式的乘除同步练习鲁教版(五四制)八年级数学下册.docx_第1页
1/5
7.4二次根式的乘除同步练习鲁教版(五四制)八年级数学下册.docx_第2页
2/5
7.4二次根式的乘除同步练习鲁教版(五四制)八年级数学下册.docx_第3页
3/5
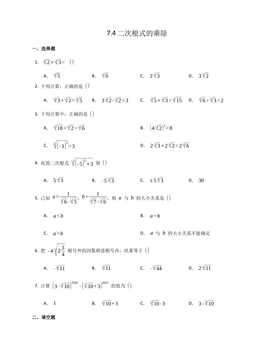
7.4 二次根式的乘除一、选择题1. ❑√2×❑√3= () A. ❑√5 B. ❑√6 C. 2❑√3 D. 3 ❑√2 2. 下列计算,正确的是 () A. ❑√3+ ❑√2= ❑√5 B. 3 ❑√2- ❑√2=3 C. ❑√5×❑√3= ❑√15 D. ❑√6÷ ❑√3=2 3. 下列计算中,正确的是 () A. ❑√18÷ ❑√2= ❑√6 B. (4 ❑√2)2=8 C. ❑√(-3)2...

1、当您付费下载文档后,您只拥有了使用权限,并不意味着购买了版权,文档只能用于自身使用,不得用于其他商业用途(如 [转卖]进行直接盈利或[编辑后售卖]进行间接盈利)。
2、本站所有内容均由合作方或网友上传,本站不对文档的完整性、权威性及其观点立场正确性做任何保证或承诺!文档内容仅供研究参考,付费前请自行鉴别。
3、如文档内容存在违规,或者侵犯商业秘密、侵犯著作权等,请点击“违规举报”。

1.电子资料成功下载后不支持退换,如发现资料有内容错误问题请联系客服,如若属实,我们会补偿您的损失

2.压缩包下载后请先用软件解压,再使用对应软件打开;软件版本较低时请及时更新

3.资料下载成功后可在60天以内免费重复下载


7.4二次根式的乘除同步练习鲁教版(五四制)八年级数学下册.docx

您可能关注的文档

星辰资料铺+ 关注
实名认证
内容提供者

星辰资料铺

确认删除?
回到顶部
QQ客服
  • 天空点击这里给我发消息