电脑桌面
添加学科云到电脑桌面
安装后可以在桌面快捷访问

江苏省南通、徐州、扬州、淮安、泰州、宿迁、连云港七市2025届高三第二次调研测试-数学二模答案最终稿(数学).pdf

江苏省南通、徐州、扬州、淮安、泰州、宿迁、连云港七市2025届高三第二次调研测试-数学二模答案最终稿(数学).pdf_第1页
1/9
江苏省南通、徐州、扬州、淮安、泰州、宿迁、连云港七市2025届高三第二次调研测试-数学二模答案最终稿(数学).pdf_第2页
2/9
江苏省南通、徐州、扬州、淮安、泰州、宿迁、连云港七市2025届高三第二次调研测试-数学二模答案最终稿(数学).pdf_第3页
3/9
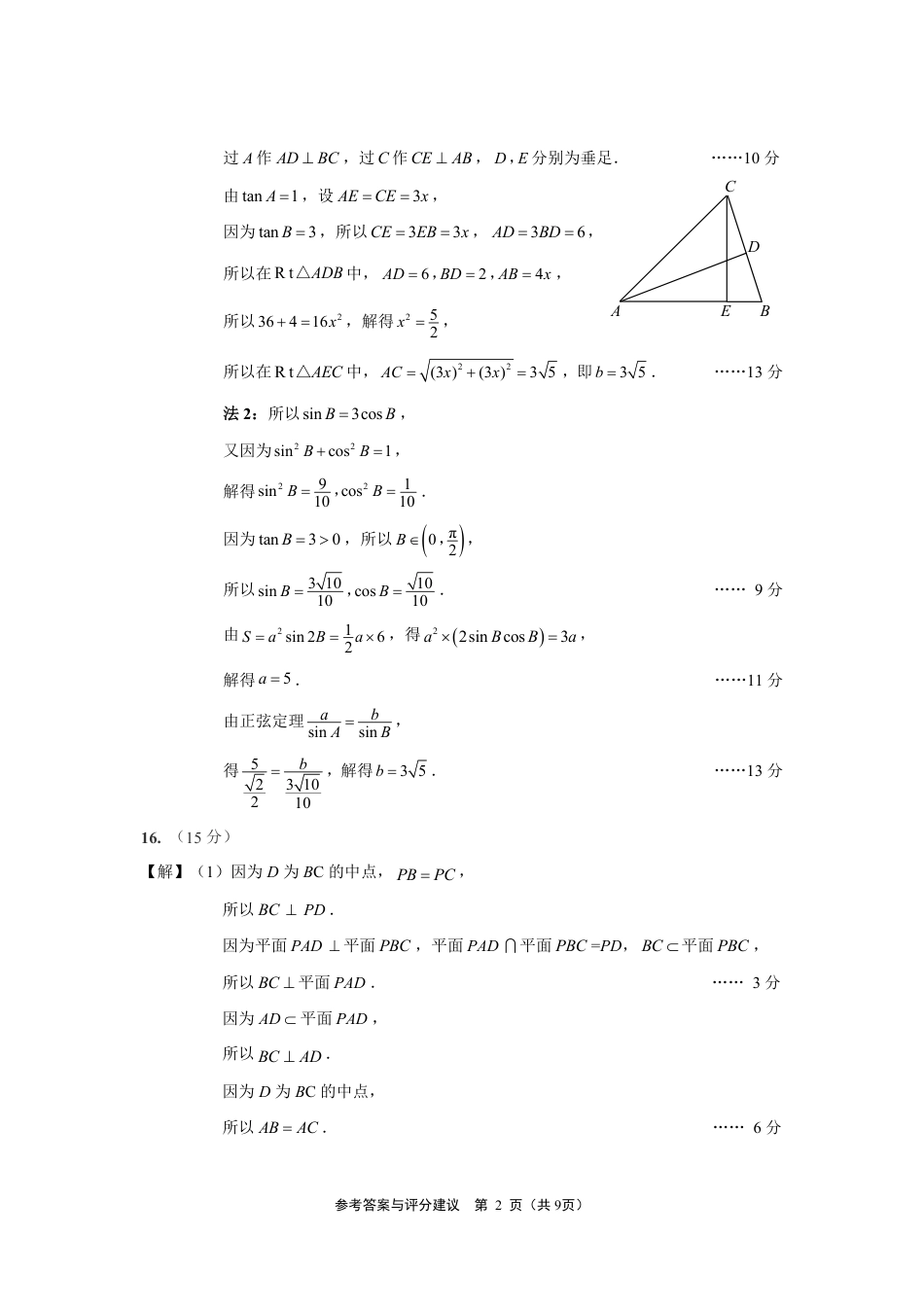
参考答案与评分建议第 1 页(共 9页)2025 届高三第二次调研测试数学参考答案与评分建议一、选择题:本题共 8 小题,每小题 5 分,共 40 分。12345678ABDCACBB二、选择题:本题共 3 小题,每小题 6 分,共 18 分。91011BCABDABD三、填空题:本题共 3 小题,每小题 5 分,共 15 分。12.2213.014. 92四、解答题:本题共 5 小题...

1、当您付费下载文档后,您只拥有了使用权限,并不意味着购买了版权,文档只能用于自身使用,不得用于其他商业用途(如 [转卖]进行直接盈利或[编辑后售卖]进行间接盈利)。
2、本站所有内容均由合作方或网友上传,本站不对文档的完整性、权威性及其观点立场正确性做任何保证或承诺!文档内容仅供研究参考,付费前请自行鉴别。
3、如文档内容存在违规,或者侵犯商业秘密、侵犯著作权等,请点击“违规举报”。

1.电子资料成功下载后不支持退换,如发现资料有内容错误问题请联系客服,如若属实,我们会补偿您的损失

2.压缩包下载后请先用软件解压,再使用对应软件打开;软件版本较低时请及时更新

3.资料下载成功后可在60天以内免费重复下载


江苏省南通、徐州、扬州、淮安、泰州、宿迁、连云港七市2025届高三第二次调研测试-数学二模答案最终稿(数学).pdf

您可能关注的文档

星辰资料铺+ 关注
实名认证
内容提供者

星辰资料铺

确认删除?
回到顶部
QQ客服
  • 天空点击这里给我发消息