电脑桌面
添加学科云到电脑桌面
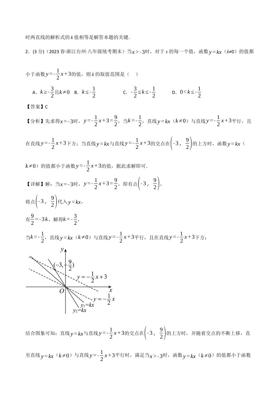
安装后可以在桌面快捷访问

初中数学八年级下-专题复习-19.7 一次函数章末拔尖卷(人教版)(解析版).docx

初中数学八年级下-专题复习-19.7 一次函数章末拔尖卷(人教版)(解析版).docx_第1页
1/34
初中数学八年级下-专题复习-19.7 一次函数章末拔尖卷(人教版)(解析版).docx_第2页
2/34
初中数学八年级下-专题复习-19.7 一次函数章末拔尖卷(人教版)(解析版).docx_第3页
3/34
第 19 章 一次函数章末拔尖卷【人教版】参考答案与试题解析一.选择题(共 10 小题,满分 30 分,每小题 3 分)1.(3 分)(2023 春·河南郑州·八年级校考期末)在平面直角坐标系中,已知直线y =kx +b与直线y =2 x +2022平行,且与y轴交于点M (0,4),与x轴的交点为N,则△ MNO的面积为( )A.2022B.1011C.8D.4【答案】D【分析】先...

1、当您付费下载文档后,您只拥有了使用权限,并不意味着购买了版权,文档只能用于自身使用,不得用于其他商业用途(如 [转卖]进行直接盈利或[编辑后售卖]进行间接盈利)。
2、本站所有内容均由合作方或网友上传,本站不对文档的完整性、权威性及其观点立场正确性做任何保证或承诺!文档内容仅供研究参考,付费前请自行鉴别。
3、如文档内容存在违规,或者侵犯商业秘密、侵犯著作权等,请点击“违规举报”。

1.电子资料成功下载后不支持退换,如发现资料有内容错误问题请联系客服,如若属实,我们会补偿您的损失

2.压缩包下载后请先用软件解压,再使用对应软件打开;软件版本较低时请及时更新

3.资料下载成功后可在60天以内免费重复下载


初中数学八年级下-专题复习-19.7 一次函数章末拔尖卷(人教版)(解析版).docx

爱学习驿站+ 关注
实名认证
内容提供者

爱学习驿站

确认删除?
回到顶部
QQ客服
  • 天空点击这里给我发消息