电脑桌面
添加学科云到电脑桌面
安装后可以在桌面快捷访问

湘教版初中数学八年级上册知识点-二次根式的乘除(基础)巩固练习.docx

湘教版初中数学八年级上册知识点-二次根式的乘除(基础)巩固练习.docx_第1页
1/4
湘教版初中数学八年级上册知识点-二次根式的乘除(基础)巩固练习.docx_第2页
2/4
湘教版初中数学八年级上册知识点-二次根式的乘除(基础)巩固练习.docx_第3页
3/4
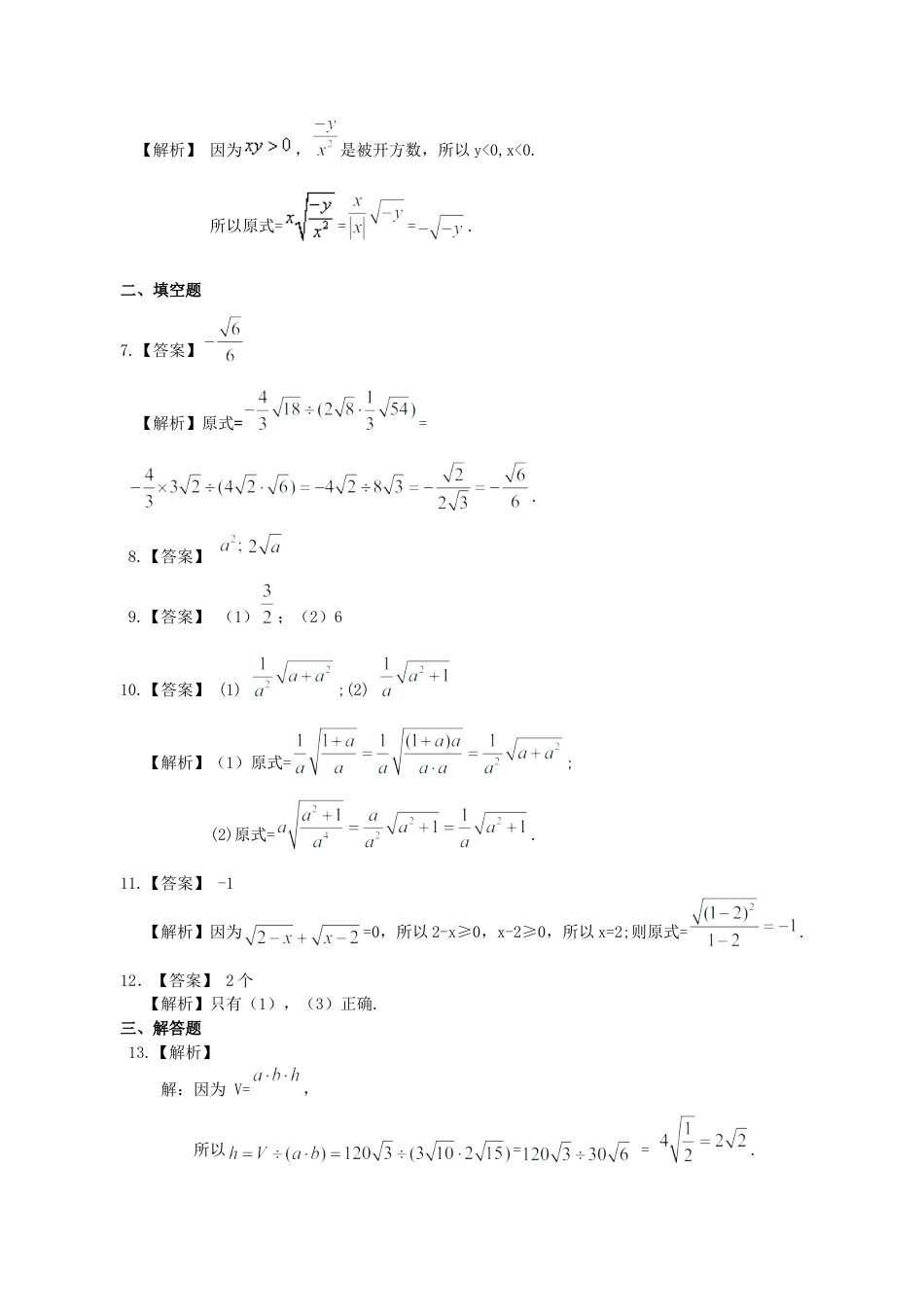
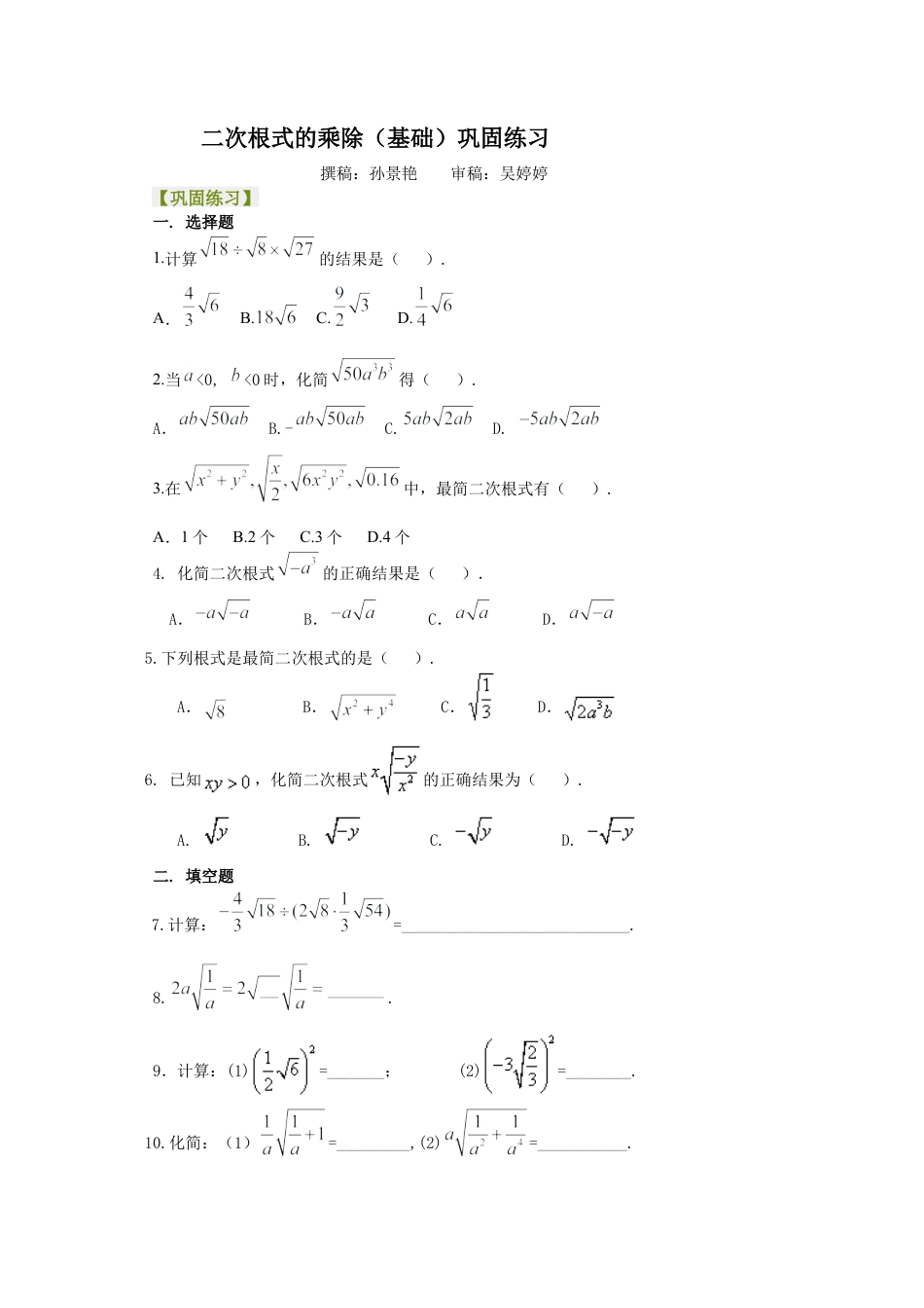
二次根式的乘除(基础)巩固练习 撰稿:孙景艳 审稿:吴婷婷【巩固练习】一. 选择题1.计算的结果是( ).A. B. C. D.2.当<0, <0 时,化简得( ).A. B.- C. D. 3.在中,最简二次根式有( ).A.1 个 B.2 个 C.3 个 D.4 个 4. 化简二次根式的正确结果是( ). A. B. C. D.5.下列根式是最简二次根式的是( ). A. B...

1、当您付费下载文档后,您只拥有了使用权限,并不意味着购买了版权,文档只能用于自身使用,不得用于其他商业用途(如 [转卖]进行直接盈利或[编辑后售卖]进行间接盈利)。
2、本站所有内容均由合作方或网友上传,本站不对文档的完整性、权威性及其观点立场正确性做任何保证或承诺!文档内容仅供研究参考,付费前请自行鉴别。
3、如文档内容存在违规,或者侵犯商业秘密、侵犯著作权等,请点击“违规举报”。

1.电子资料成功下载后不支持退换,如发现资料有内容错误问题请联系客服,如若属实,我们会补偿您的损失

2.压缩包下载后请先用软件解压,再使用对应软件打开;软件版本较低时请及时更新

3.资料下载成功后可在60天以内免费重复下载


湘教版初中数学八年级上册知识点-二次根式的乘除(基础)巩固练习.docx

阳光教育+ 关注
实名认证
内容提供者

中小学原创教育资源发布!

确认删除?
回到顶部
QQ客服
  • 天空点击这里给我发消息