电脑桌面
添加学科云到电脑桌面
安装后可以在桌面快捷访问

8年级数学人教版上册同步练习15.2分式的运算(含答案解析).doc

8年级数学人教版上册同步练习15.2分式的运算(含答案解析).doc_第1页
1/3
8年级数学人教版上册同步练习15.2分式的运算(含答案解析).doc_第2页
2/3
8年级数学人教版上册同步练习15.2分式的运算(含答案解析).doc_第3页
3/3
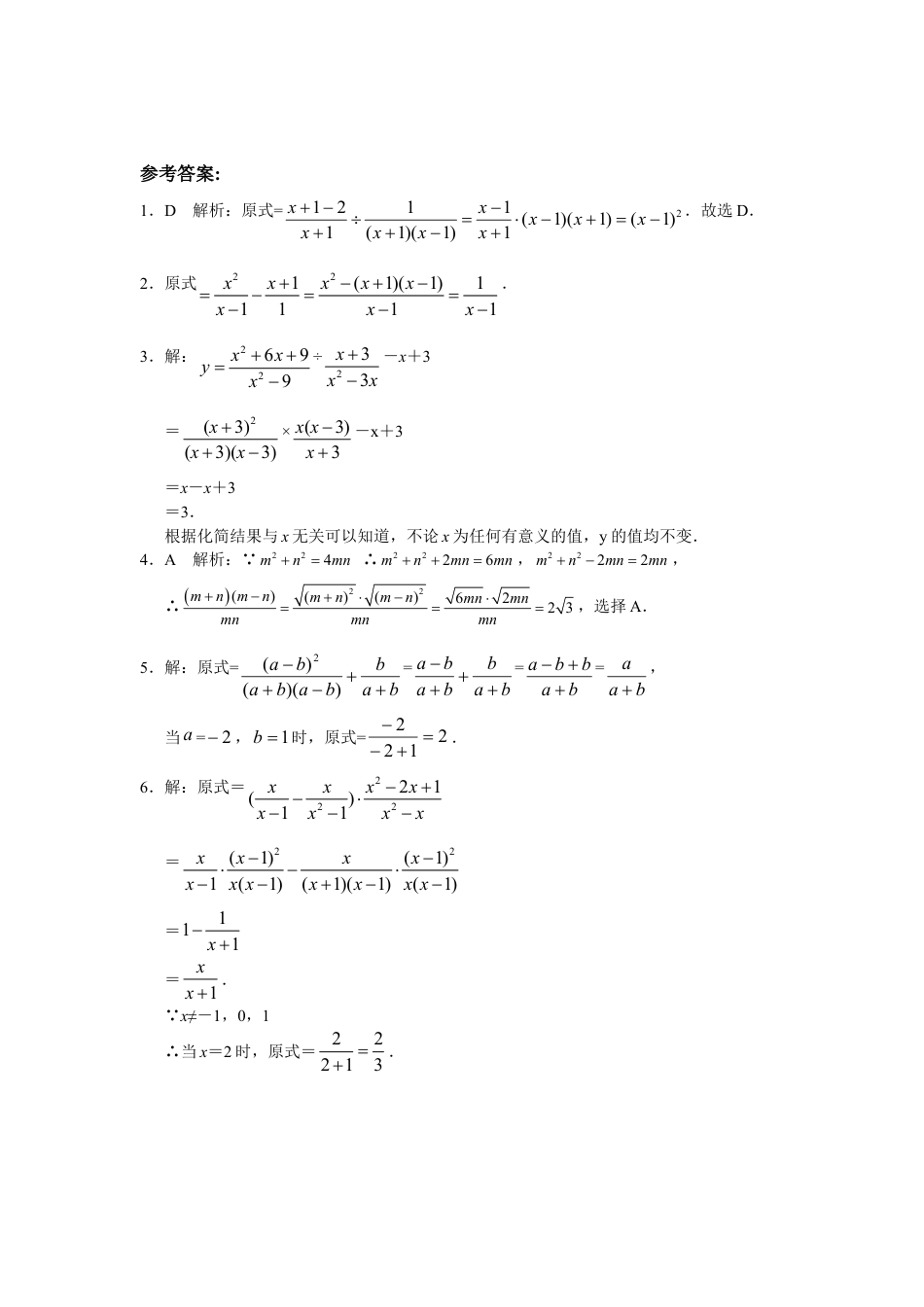
15.2 分式的运算专题一 分式的混合运算1.化简221111xx的结果是( ) A. 21x1 B.21x1 C.21x  D.21x 2.计算211xxx.3.已知:22xxyx    ÷2xxx  -x+3.试说明不论 x 为任何有意义的值,y 的值均不变.专题二 分式的化简求值4.设 m>n>0,m2+n2=4...

1、当您付费下载文档后,您只拥有了使用权限,并不意味着购买了版权,文档只能用于自身使用,不得用于其他商业用途(如 [转卖]进行直接盈利或[编辑后售卖]进行间接盈利)。
2、本站所有内容均由合作方或网友上传,本站不对文档的完整性、权威性及其观点立场正确性做任何保证或承诺!文档内容仅供研究参考,付费前请自行鉴别。
3、如文档内容存在违规,或者侵犯商业秘密、侵犯著作权等,请点击“违规举报”。

1.电子资料成功下载后不支持退换,如发现资料有内容错误问题请联系客服,如若属实,我们会补偿您的损失

2.压缩包下载后请先用软件解压,再使用对应软件打开;软件版本较低时请及时更新

3.资料下载成功后可在60天以内免费重复下载


8年级数学人教版上册同步练习15.2分式的运算(含答案解析).doc

爱学习驿站+ 关注
实名认证
内容提供者

爱学习驿站

确认删除?
回到顶部
QQ客服
  • 天空点击这里给我发消息