电脑桌面
添加学科云到电脑桌面
安装后可以在桌面快捷访问

初中数学八年级上册2026年期末复习系列-专题5.5 一次函数的几何综合(压轴题专项讲练)(无答案).docx

初中数学八年级上册2026年期末复习系列-专题5.5 一次函数的几何综合(压轴题专项讲练)(无答案).docx_第1页
1/24
初中数学八年级上册2026年期末复习系列-专题5.5 一次函数的几何综合(压轴题专项讲练)(无答案).docx_第2页
2/24
初中数学八年级上册2026年期末复习系列-专题5.5 一次函数的几何综合(压轴题专项讲练)(无答案).docx_第3页
3/24
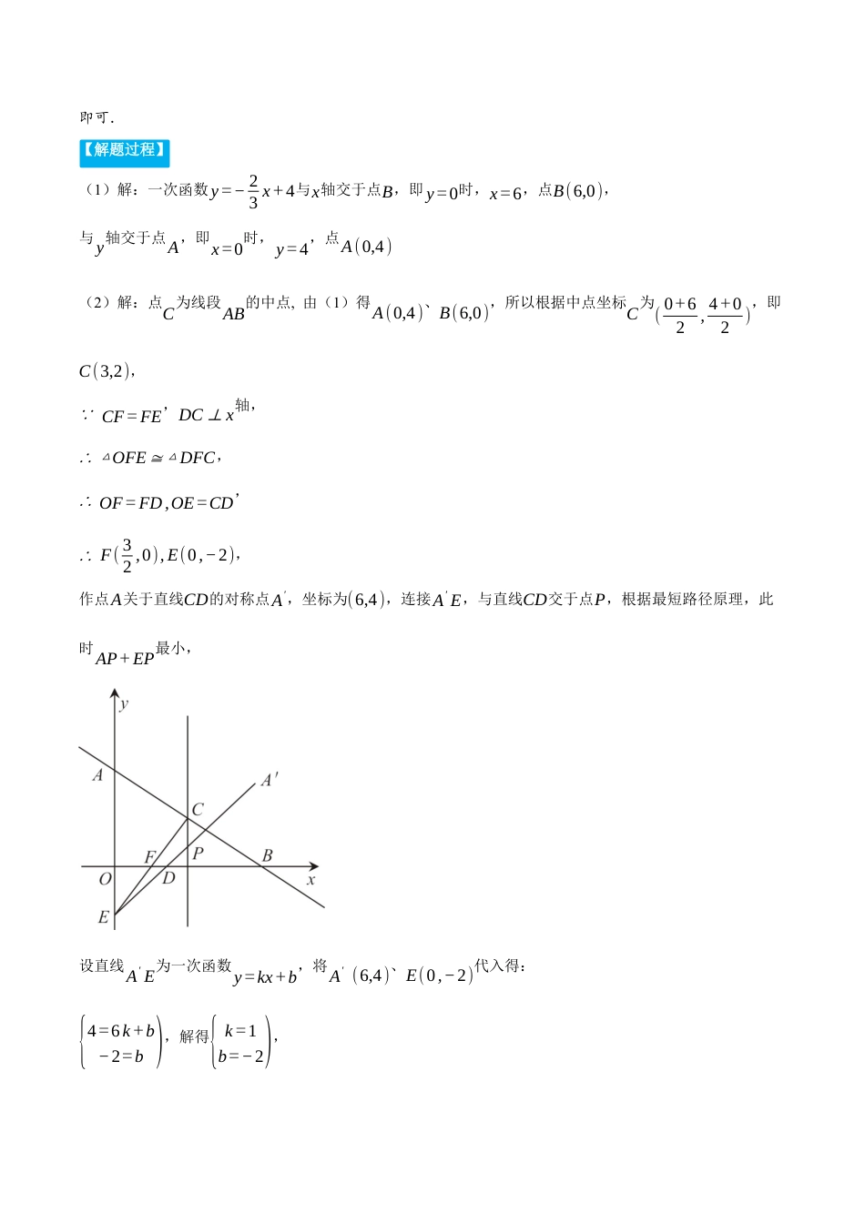
专题 5.5 一次函数的几何综合【典例 1】如图 1 , 在平面直角坐标系中, 一次函数y =− 23 x + 4与x轴交于点B, 与y轴交于点A, 点C为线段AB的中点, 过点C作DC ⊥ x轴, 垂足为D.(1)求A 、B两点的坐标;(2)若点E为y轴负半轴上一点, 连接CE交x轴于点F, 且CF = FE, 在直线CD上有一点P, 使得AP+ EP最小, 求P点坐标;(...

1、当您付费下载文档后,您只拥有了使用权限,并不意味着购买了版权,文档只能用于自身使用,不得用于其他商业用途(如 [转卖]进行直接盈利或[编辑后售卖]进行间接盈利)。
2、本站所有内容均由合作方或网友上传,本站不对文档的完整性、权威性及其观点立场正确性做任何保证或承诺!文档内容仅供研究参考,付费前请自行鉴别。
3、如文档内容存在违规,或者侵犯商业秘密、侵犯著作权等,请点击“违规举报”。

1.电子资料成功下载后不支持退换,如发现资料有内容错误问题请联系客服,如若属实,我们会补偿您的损失

2.压缩包下载后请先用软件解压,再使用对应软件打开;软件版本较低时请及时更新

3.资料下载成功后可在60天以内免费重复下载


初中数学八年级上册2026年期末复习系列-专题5.5 一次函数的几何综合(压轴题专项讲练)(无答案).docx

爱学习驿站+ 关注
实名认证
内容提供者

爱学习驿站

确认删除?
回到顶部
QQ客服
  • 天空点击这里给我发消息