电脑桌面
添加学科云到电脑桌面
安装后可以在桌面快捷访问

2026年初中数学九年级上册-压轴题-专题1.1 二次函数图象与系数的关系(压轴题专项讲练)(浙教版)(学生版).docx

2026年初中数学九年级上册-压轴题-专题1.1 二次函数图象与系数的关系(压轴题专项讲练)(浙教版)(学生版).docx_第1页
1/12
2026年初中数学九年级上册-压轴题-专题1.1 二次函数图象与系数的关系(压轴题专项讲练)(浙教版)(学生版).docx_第2页
2/12
2026年初中数学九年级上册-压轴题-专题1.1 二次函数图象与系数的关系(压轴题专项讲练)(浙教版)(学生版).docx_第3页
3/12
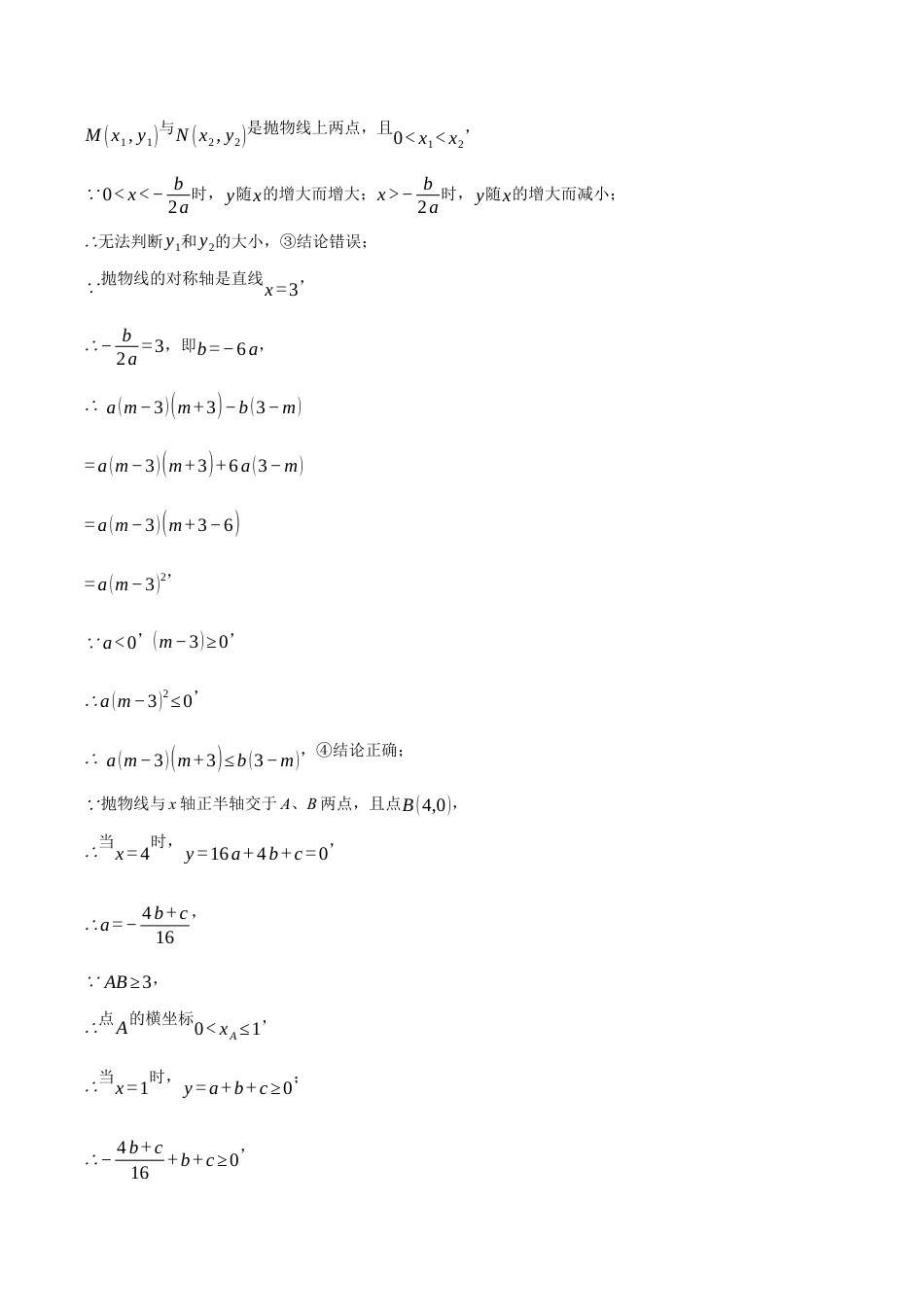
专题 1.1 二次函数图象与系数的关系数形结合思想:所谓数形结合,就是根据数与形之间的对应关系,通过数与形的相互转化来解决数学问题的思想,实现数形结合,常与以下内容有关:(1)实数与数轴上的点的对应关系;(2)函数与图象的对应关系;(3 所给的等式或代数式的结构含有明显的几何意义。一、二次函数图象与系数的关系对于二次函数 y =a x2+bx...

1、当您付费下载文档后,您只拥有了使用权限,并不意味着购买了版权,文档只能用于自身使用,不得用于其他商业用途(如 [转卖]进行直接盈利或[编辑后售卖]进行间接盈利)。
2、本站所有内容均由合作方或网友上传,本站不对文档的完整性、权威性及其观点立场正确性做任何保证或承诺!文档内容仅供研究参考,付费前请自行鉴别。
3、如文档内容存在违规,或者侵犯商业秘密、侵犯著作权等,请点击“违规举报”。

1.电子资料成功下载后不支持退换,如发现资料有内容错误问题请联系客服,如若属实,我们会补偿您的损失

2.压缩包下载后请先用软件解压,再使用对应软件打开;软件版本较低时请及时更新

3.资料下载成功后可在60天以内免费重复下载


2026年初中数学九年级上册-压轴题-专题1.1 二次函数图象与系数的关系(压轴题专项讲练)(浙教版)(学生版).docx

爱学习驿站+ 关注
实名认证
内容提供者

爱学习驿站

确认删除?
回到顶部
QQ客服
  • 天空点击这里给我发消息