电脑桌面
添加学科云到电脑桌面
安装后可以在桌面快捷访问

新版北师大版八年级数学上册第2章《实数》单元测试试卷及答案6.docx

新版北师大版八年级数学上册第2章《实数》单元测试试卷及答案6.docx_第1页
1/5
新版北师大版八年级数学上册第2章《实数》单元测试试卷及答案6.docx_第2页
2/5
新版北师大版八年级数学上册第2章《实数》单元测试试卷及答案6.docx_第3页
3/5
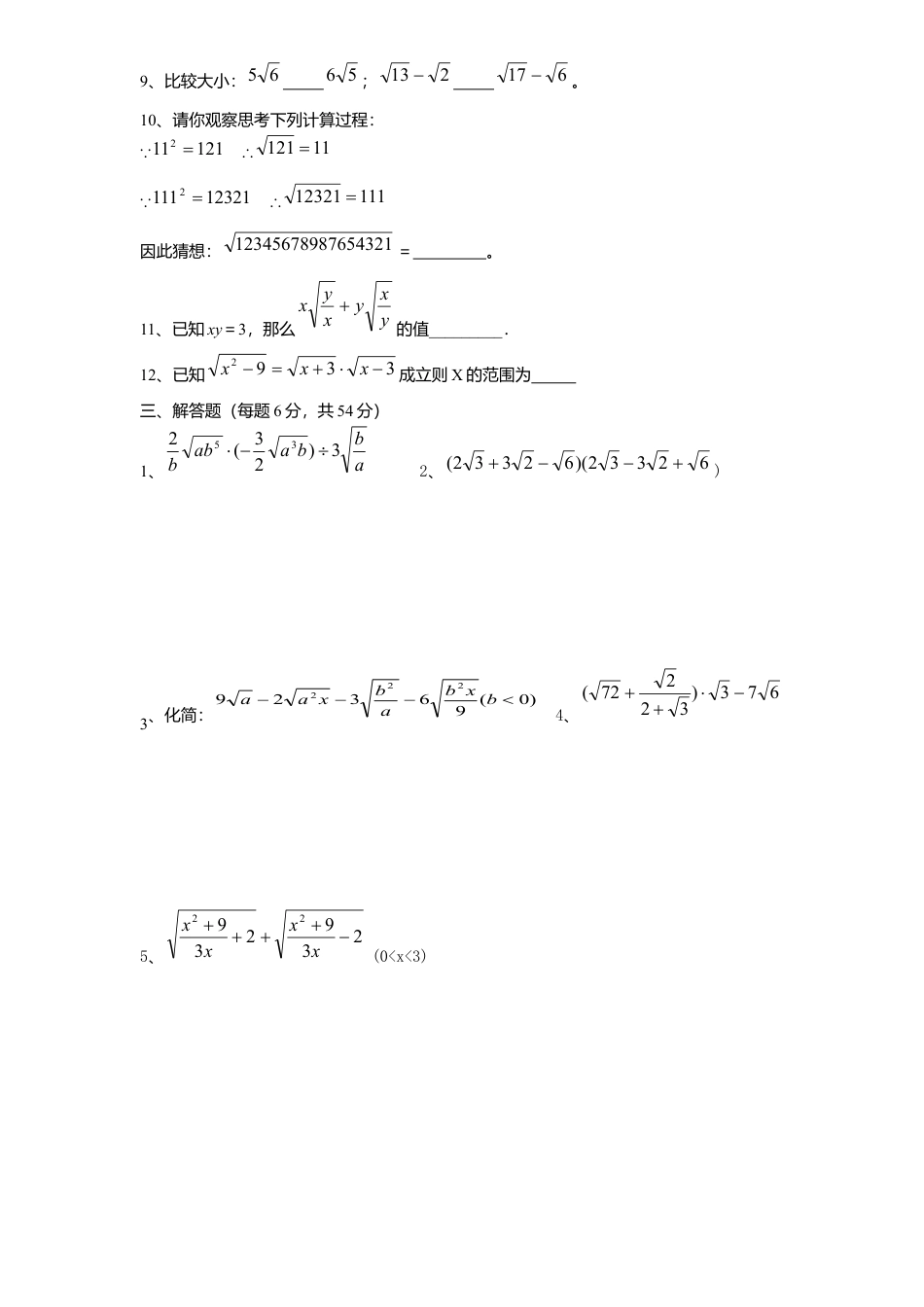
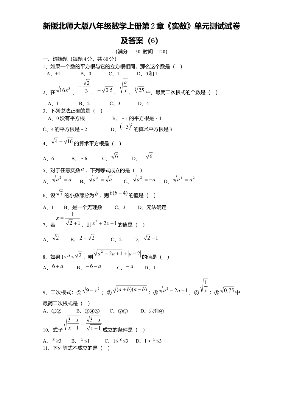
新版北师大版八年级数学上册第 2 章《实数》单元测试试卷及答案(6)(满分:150 时间:120)一、选择题(每题 4 分,共 60 分)1 、如果一个数的平方根与它的立方根相同,那么这个数是() A、±1 B、0 C、1 D、0 和 12、在316x、32、5.0、xa、3 25 中,最简二次根式的个数是() A、1 B、2 C、3 D、43 、下列说法正确的是()...

1、当您付费下载文档后,您只拥有了使用权限,并不意味着购买了版权,文档只能用于自身使用,不得用于其他商业用途(如 [转卖]进行直接盈利或[编辑后售卖]进行间接盈利)。
2、本站所有内容均由合作方或网友上传,本站不对文档的完整性、权威性及其观点立场正确性做任何保证或承诺!文档内容仅供研究参考,付费前请自行鉴别。
3、如文档内容存在违规,或者侵犯商业秘密、侵犯著作权等,请点击“违规举报”。

1.电子资料成功下载后不支持退换,如发现资料有内容错误问题请联系客服,如若属实,我们会补偿您的损失

2.压缩包下载后请先用软件解压,再使用对应软件打开;软件版本较低时请及时更新

3.资料下载成功后可在60天以内免费重复下载


新版北师大版八年级数学上册第2章《实数》单元测试试卷及答案6.docx

您可能关注的文档

爱学习驿站+ 关注
实名认证
内容提供者

爱学习驿站

确认删除?
回到顶部
QQ客服
  • 天空点击这里给我发消息