电脑桌面
添加学科云到电脑桌面
安装后可以在桌面快捷访问

2024-2025学年安徽省县中联盟高一下学期3月联考数学试卷(含答案).docx

2024-2025学年安徽省县中联盟高一下学期3月联考数学试卷(含答案).docx_第1页
1/10
2024-2025学年安徽省县中联盟高一下学期3月联考数学试卷(含答案).docx_第2页
2/10
2024-2025学年安徽省县中联盟高一下学期3月联考数学试卷(含答案).docx_第3页
3/10
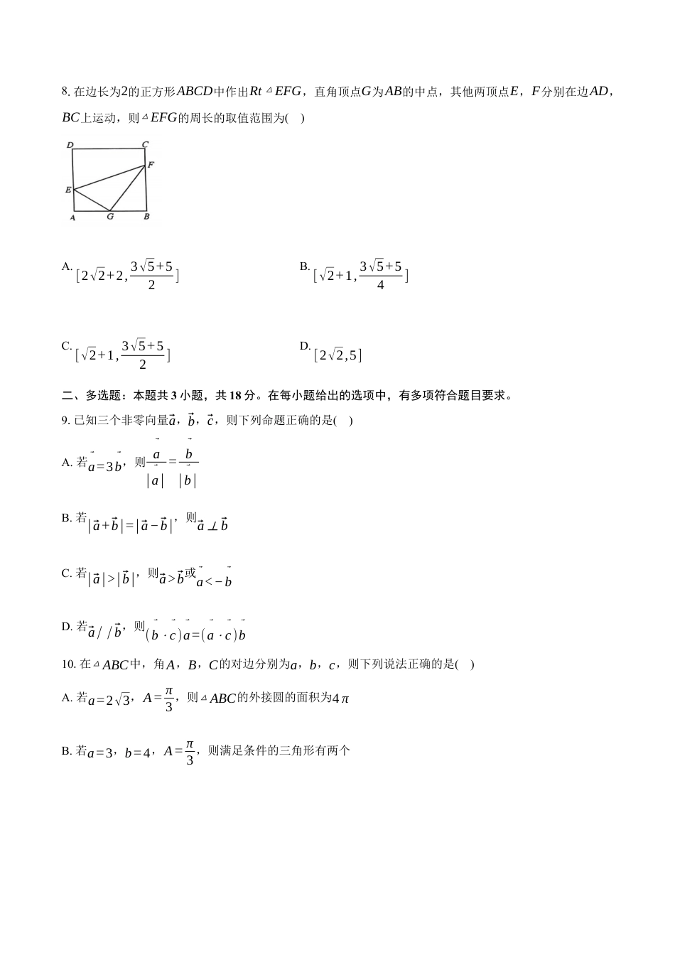
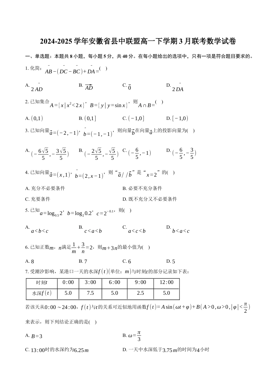
2024-2025 学年安徽省县中联盟高一下学期 3 月联考数学试卷一、单选题:本题共 8 小题,每小题 5 分,共 40 分。在每小题给出的选项中,只有一项是符合题目要求的。1.化简:AB⃗−( DC⃗−BC⃗)+ DA⃗=( )A. 2 AD⃗B. ⃗ADC. ⃗0D. 2 DA⃗2.已知集合A ={x| x2<2 x },B={ y | y =sin x },则A ∩B=( )A. (0,1)B. (0,1]C....

1、当您付费下载文档后,您只拥有了使用权限,并不意味着购买了版权,文档只能用于自身使用,不得用于其他商业用途(如 [转卖]进行直接盈利或[编辑后售卖]进行间接盈利)。
2、本站所有内容均由合作方或网友上传,本站不对文档的完整性、权威性及其观点立场正确性做任何保证或承诺!文档内容仅供研究参考,付费前请自行鉴别。
3、如文档内容存在违规,或者侵犯商业秘密、侵犯著作权等,请点击“违规举报”。

1.电子资料成功下载后不支持退换,如发现资料有内容错误问题请联系客服,如若属实,我们会补偿您的损失

2.压缩包下载后请先用软件解压,再使用对应软件打开;软件版本较低时请及时更新

3.资料下载成功后可在60天以内免费重复下载


2024-2025学年安徽省县中联盟高一下学期3月联考数学试卷(含答案).docx

您可能关注的文档

确认删除?
回到顶部
QQ客服
  • 天空点击这里给我发消息