电脑桌面
添加学科云到电脑桌面
安装后可以在桌面快捷访问

2026年初中数学九年级上册-压轴题-专题4.4 相似三角形中的动点问题(压轴题专项讲练)(浙教版)(学生版).docx

2026年初中数学九年级上册-压轴题-专题4.4 相似三角形中的动点问题(压轴题专项讲练)(浙教版)(学生版).docx_第1页
1/17
2026年初中数学九年级上册-压轴题-专题4.4 相似三角形中的动点问题(压轴题专项讲练)(浙教版)(学生版).docx_第2页
2/17
2026年初中数学九年级上册-压轴题-专题4.4 相似三角形中的动点问题(压轴题专项讲练)(浙教版)(学生版).docx_第3页
3/17
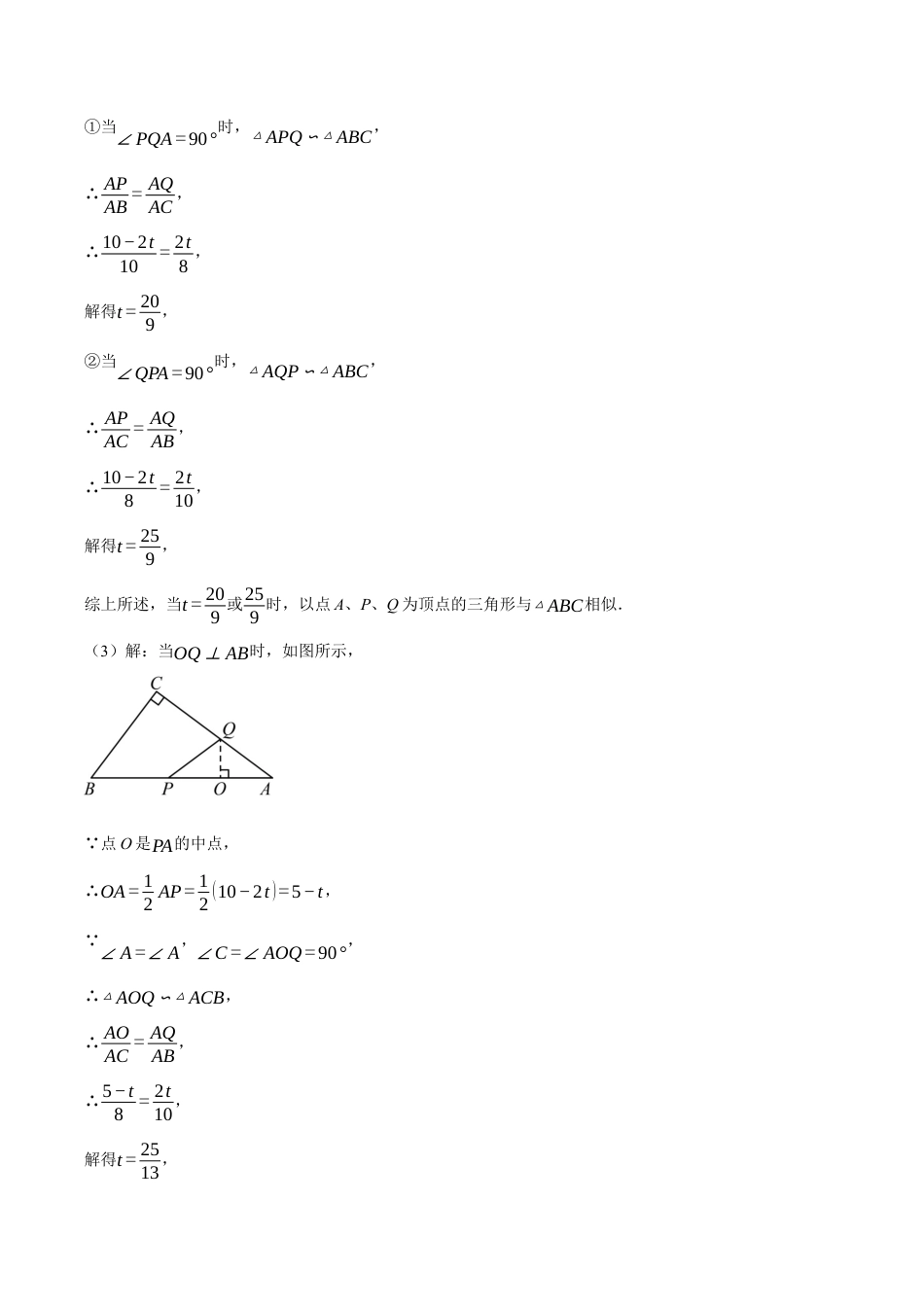
专题 4.4 相似三角形中的动点问题 【典例 1】如图,在Rt△ ABC中,∠ C =90°,AC =8,BC =6,动点 P 从点 B 出发,沿线段 BA 以每秒2 个单位长度的速度向终点 A 运动,同时动点 Q 从点 A 出发,沿折线AC −CB以每秒 2 个单位长度的速度向点 B 运动.当点 P 到达终点时,点 Q 也停止运动,设运动的时间为 t 秒.(1)AB=...

1、当您付费下载文档后,您只拥有了使用权限,并不意味着购买了版权,文档只能用于自身使用,不得用于其他商业用途(如 [转卖]进行直接盈利或[编辑后售卖]进行间接盈利)。
2、本站所有内容均由合作方或网友上传,本站不对文档的完整性、权威性及其观点立场正确性做任何保证或承诺!文档内容仅供研究参考,付费前请自行鉴别。
3、如文档内容存在违规,或者侵犯商业秘密、侵犯著作权等,请点击“违规举报”。

1.电子资料成功下载后不支持退换,如发现资料有内容错误问题请联系客服,如若属实,我们会补偿您的损失

2.压缩包下载后请先用软件解压,再使用对应软件打开;软件版本较低时请及时更新

3.资料下载成功后可在60天以内免费重复下载


2026年初中数学九年级上册-压轴题-专题4.4 相似三角形中的动点问题(压轴题专项讲练)(浙教版)(学生版).docx

爱学习驿站+ 关注
实名认证
内容提供者

爱学习驿站

确认删除?
回到顶部
QQ客服
  • 天空点击这里给我发消息