电脑桌面
添加学科云到电脑桌面
安装后可以在桌面快捷访问

重庆市乌江新高考协作体2024-2025学年高三上学期9月月考化学答案.docx

重庆市乌江新高考协作体2024-2025学年高三上学期9月月考化学答案.docx_第1页
1/2
重庆市乌江新高考协作体2024-2025学年高三上学期9月月考化学答案.docx_第2页
2/2
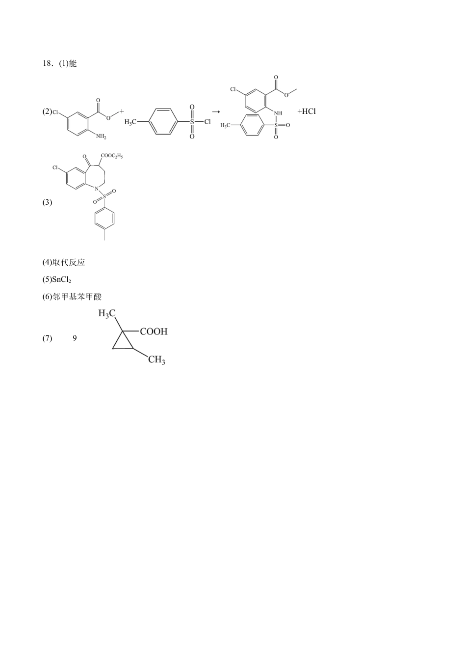
重庆乌江新高考协作体 2025 届高考质量调研(一)化学答案(分数:100 分,时间:75 分钟)1-5.DDCBD6-10.CCABC11-14.CABA15.(1)Fe+2Fe3+=3Fe2+、Fe+Cu2+=Fe2++Cu(2)引流(3) Cu、Fe HCl(4) 将 Fe2+氧化成 Fe3+ BE 2Fe2++Cl2=2Fe2++2Cl-或 2Fe2++H2O2+2H+=2Fe3++2H2O(5) 2Fe3++SO+H2O=2Fe2++SO+2H+ 54.1g16.(1) 大于 该反应,且能发生...

1、当您付费下载文档后,您只拥有了使用权限,并不意味着购买了版权,文档只能用于自身使用,不得用于其他商业用途(如 [转卖]进行直接盈利或[编辑后售卖]进行间接盈利)。
2、本站所有内容均由合作方或网友上传,本站不对文档的完整性、权威性及其观点立场正确性做任何保证或承诺!文档内容仅供研究参考,付费前请自行鉴别。
3、如文档内容存在违规,或者侵犯商业秘密、侵犯著作权等,请点击“违规举报”。

1.电子资料成功下载后不支持退换,如发现资料有内容错误问题请联系客服,如若属实,我们会补偿您的损失

2.压缩包下载后请先用软件解压,再使用对应软件打开;软件版本较低时请及时更新

3.资料下载成功后可在60天以内免费重复下载


重庆市乌江新高考协作体2024-2025学年高三上学期9月月考化学答案.docx

您可能关注的文档

爱学习驿站+ 关注
实名认证
内容提供者

爱学习驿站

确认删除?
回到顶部
QQ客服
  • 天空点击这里给我发消息