电脑桌面
添加学科云到电脑桌面
安装后可以在桌面快捷访问

人教版数学八年级上册-第2课时 分式的混合运算.docx

人教版数学八年级上册-第2课时 分式的混合运算.docx_第1页
1/5
人教版数学八年级上册-第2课时 分式的混合运算.docx_第2页
2/5
人教版数学八年级上册-第2课时 分式的混合运算.docx_第3页
3/5
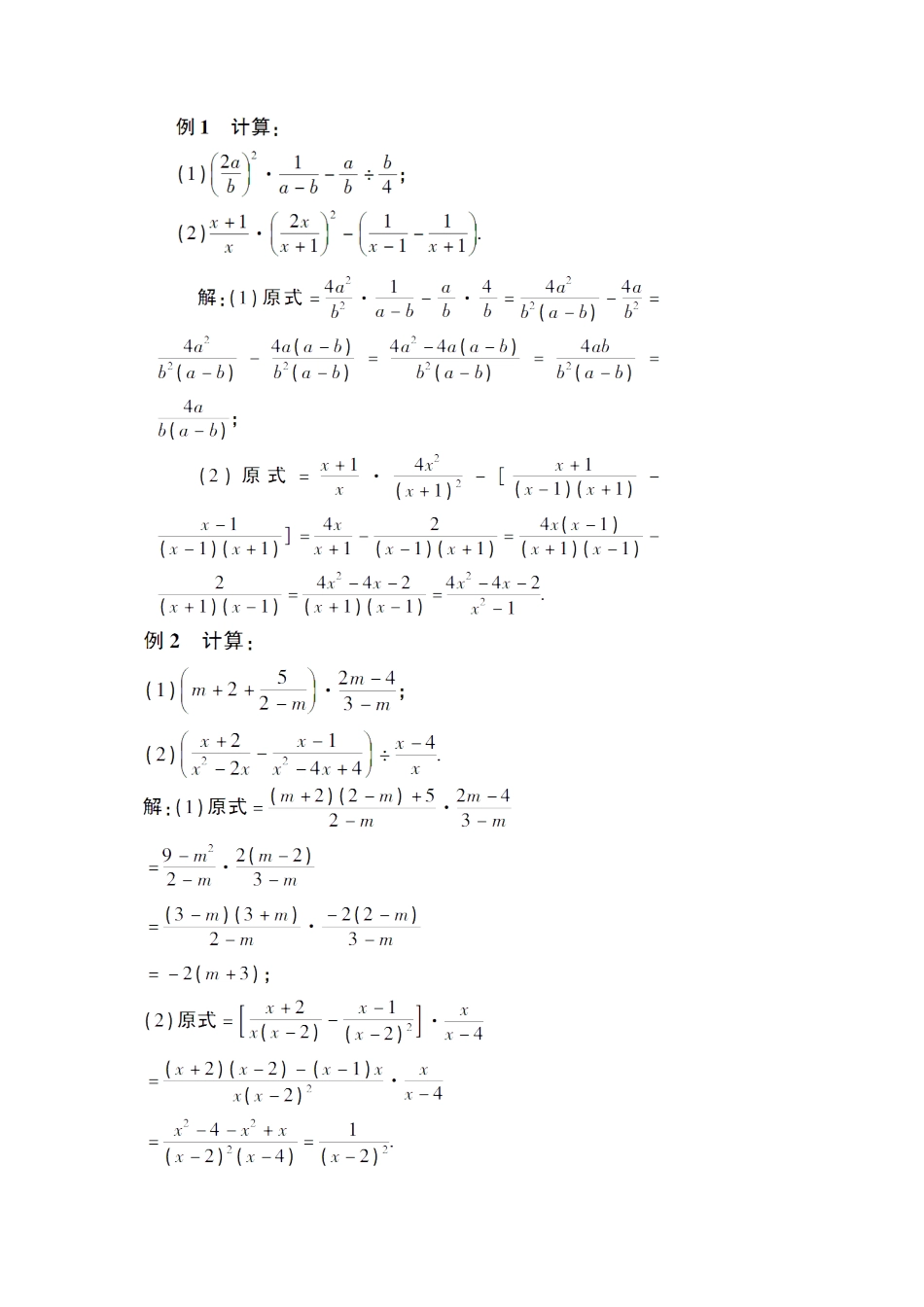
第 2 课时 分式的混合运算【知识与技能】1.进一步掌握分式的加减法运算方法,能用它解决实际问题.2.能进行分式的乘除、加减、乘方混合运算.【过程与方法】在具体问题情境的探索思考过程中,进一步增强学生的数学应用意识,锻炼分析问题、解决问题的能力.【情感态度】进一步培养学生严密的科学态度和良好的学习习惯.【教学重点】掌握分式乘除、加减、乘...

1、当您付费下载文档后,您只拥有了使用权限,并不意味着购买了版权,文档只能用于自身使用,不得用于其他商业用途(如 [转卖]进行直接盈利或[编辑后售卖]进行间接盈利)。
2、本站所有内容均由合作方或网友上传,本站不对文档的完整性、权威性及其观点立场正确性做任何保证或承诺!文档内容仅供研究参考,付费前请自行鉴别。
3、如文档内容存在违规,或者侵犯商业秘密、侵犯著作权等,请点击“违规举报”。

1.电子资料成功下载后不支持退换,如发现资料有内容错误问题请联系客服,如若属实,我们会补偿您的损失

2.压缩包下载后请先用软件解压,再使用对应软件打开;软件版本较低时请及时更新

3.资料下载成功后可在60天以内免费重复下载


人教版数学八年级上册-第2课时 分式的混合运算.docx

爱学习驿站+ 关注
实名认证
内容提供者

爱学习驿站

确认删除?
回到顶部
QQ客服
  • 天空点击这里给我发消息