电脑桌面
添加学科云到电脑桌面
安装后可以在桌面快捷访问

北京课改版八下数学同步练习附解析16.2.4用因式分解法解一元二次方程.docx

北京课改版八下数学同步练习附解析16.2.4用因式分解法解一元二次方程.docx_第1页
1/6
北京课改版八下数学同步练习附解析16.2.4用因式分解法解一元二次方程.docx_第2页
2/6
北京课改版八下数学同步练习附解析16.2.4用因式分解法解一元二次方程.docx_第3页
3/6
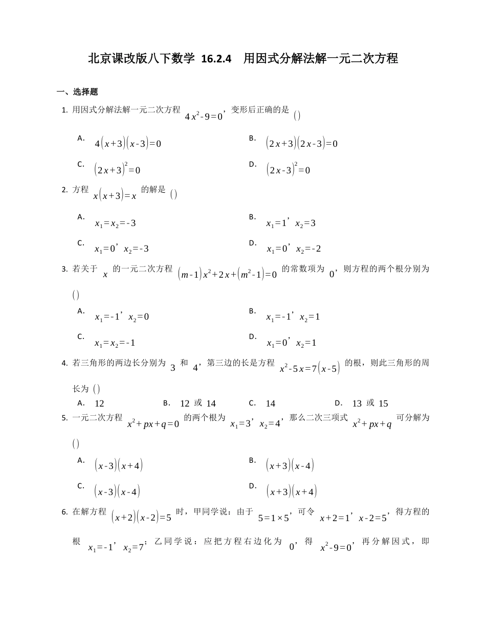
北京课改版八下数学 16.2.4 用因式分解法解一元二次方程一、选择题1. 用因式分解法解一元二次方程 4 x2-9=0,变形后正确的是 () A. 4(x +3)(x -3)=0 B. (2 x +3)(2 x -3)=0 C. (2 x +3)2=0 D. (2 x -3)2=0 2. 方程 x(x +3)= x 的解是 () A. x1= x2=-3 B. x1=1,x2=3 C. x1=0,x2=-3 D. x1=0,x2=-2 3. ...

1、当您付费下载文档后,您只拥有了使用权限,并不意味着购买了版权,文档只能用于自身使用,不得用于其他商业用途(如 [转卖]进行直接盈利或[编辑后售卖]进行间接盈利)。
2、本站所有内容均由合作方或网友上传,本站不对文档的完整性、权威性及其观点立场正确性做任何保证或承诺!文档内容仅供研究参考,付费前请自行鉴别。
3、如文档内容存在违规,或者侵犯商业秘密、侵犯著作权等,请点击“违规举报”。

1.电子资料成功下载后不支持退换,如发现资料有内容错误问题请联系客服,如若属实,我们会补偿您的损失

2.压缩包下载后请先用软件解压,再使用对应软件打开;软件版本较低时请及时更新

3.资料下载成功后可在60天以内免费重复下载


北京课改版八下数学同步练习附解析16.2.4用因式分解法解一元二次方程.docx

您可能关注的文档

星辰资料铺+ 关注
实名认证
内容提供者

星辰资料铺

确认删除?
回到顶部
QQ客服
  • 天空点击这里给我发消息