电脑桌面
添加学科云到电脑桌面
安装后可以在桌面快捷访问

数学九年级上册-压轴题专项-专题3.1 旋转的几何综合(压轴题专项讲练)(浙教版)(学生版).docx

数学九年级上册-压轴题专项-专题3.1 旋转的几何综合(压轴题专项讲练)(浙教版)(学生版).docx_第1页
1/26
数学九年级上册-压轴题专项-专题3.1 旋转的几何综合(压轴题专项讲练)(浙教版)(学生版).docx_第2页
2/26
数学九年级上册-压轴题专项-专题3.1 旋转的几何综合(压轴题专项讲练)(浙教版)(学生版).docx_第3页
3/26
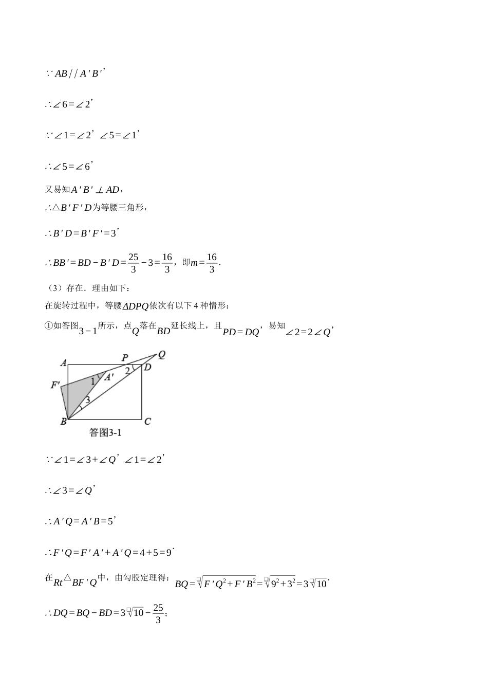
专题 3.1 旋转的几何综合【典例 1】已知:如图①,在矩形ABCD中,AB=5, AD = 2030 , AE⊥BD,垂足是 E 点 F 是点 E 关于AB的对称点,连接AF 、BF.(1)求AE和BE的长;(2)若将△ ABF沿着射线BD方向平移,设平移的距离为 m(平移距离指点 B 沿BD方向所经过的线段长度)当点 F 分别平移到线段AB、 AD上时,求出相应的 m 的值; ...

1、当您付费下载文档后,您只拥有了使用权限,并不意味着购买了版权,文档只能用于自身使用,不得用于其他商业用途(如 [转卖]进行直接盈利或[编辑后售卖]进行间接盈利)。
2、本站所有内容均由合作方或网友上传,本站不对文档的完整性、权威性及其观点立场正确性做任何保证或承诺!文档内容仅供研究参考,付费前请自行鉴别。
3、如文档内容存在违规,或者侵犯商业秘密、侵犯著作权等,请点击“违规举报”。

1.电子资料成功下载后不支持退换,如发现资料有内容错误问题请联系客服,如若属实,我们会补偿您的损失

2.压缩包下载后请先用软件解压,再使用对应软件打开;软件版本较低时请及时更新

3.资料下载成功后可在60天以内免费重复下载


数学九年级上册-压轴题专项-专题3.1 旋转的几何综合(压轴题专项讲练)(浙教版)(学生版).docx

爱学习驿站+ 关注
实名认证
内容提供者

爱学习驿站

确认删除?
回到顶部
QQ客服
  • 天空点击这里给我发消息