电脑桌面
添加学科云到电脑桌面
安装后可以在桌面快捷访问

玉溪一中2027届高一下学期月考(一)数学参考答案.docx

玉溪一中2027届高一下学期月考(一)数学参考答案.docx_第1页
1/6
玉溪一中2027届高一下学期月考(一)数学参考答案.docx_第2页
2/6
玉溪一中2027届高一下学期月考(一)数学参考答案.docx_第3页
3/6
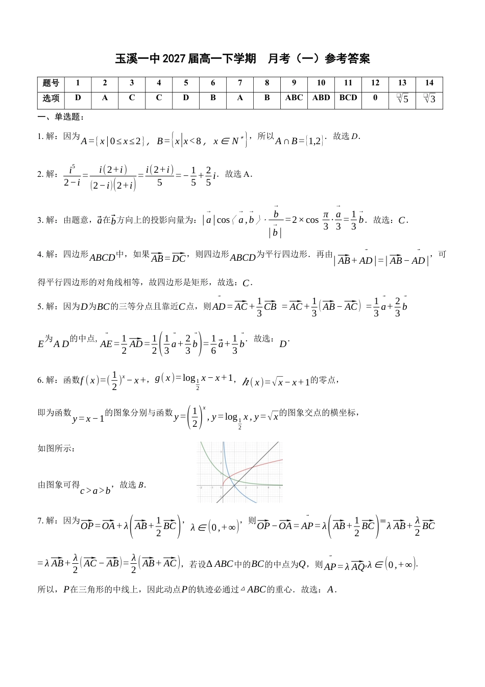
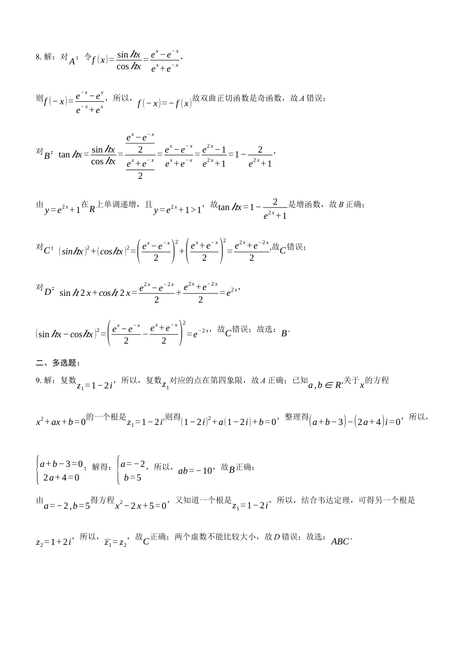
玉溪一中 2027 届高一下学期 月考(一)参考答案题号1234567891011121314选项DACCDBABABCABDBCD0❑√5❑√3一、单选题:1.解:因为A ={x |0≤ x ≤2},B ={x|x <8, x ∈ N∗},所以A ∩B= {1,2}.故选 D.2.解: i52−i =i(2+i)(2−i)(2+i)= i(2+i)5=− 15 + 25 i.故选 A.3.解:由题意,⃗a在⃗b方向上的投影向量为:| a→|cos...

1、当您付费下载文档后,您只拥有了使用权限,并不意味着购买了版权,文档只能用于自身使用,不得用于其他商业用途(如 [转卖]进行直接盈利或[编辑后售卖]进行间接盈利)。
2、本站所有内容均由合作方或网友上传,本站不对文档的完整性、权威性及其观点立场正确性做任何保证或承诺!文档内容仅供研究参考,付费前请自行鉴别。
3、如文档内容存在违规,或者侵犯商业秘密、侵犯著作权等,请点击“违规举报”。

1.电子资料成功下载后不支持退换,如发现资料有内容错误问题请联系客服,如若属实,我们会补偿您的损失

2.压缩包下载后请先用软件解压,再使用对应软件打开;软件版本较低时请及时更新

3.资料下载成功后可在60天以内免费重复下载


玉溪一中2027届高一下学期月考(一)数学参考答案.docx

您可能关注的文档

星辰资料铺+ 关注
实名认证
内容提供者

星辰资料铺

确认删除?
回到顶部
QQ客服
  • 天空点击这里给我发消息