电脑桌面
添加学科云到电脑桌面
安装后可以在桌面快捷访问

八省2025届高三“八省联考”考前猜想卷化学(14+4)答案.pdf

八省2025届高三“八省联考”考前猜想卷化学(14+4)答案.pdf_第1页
1/2
八省2025届高三“八省联考”考前猜想卷化学(14+4)答案.pdf_第2页
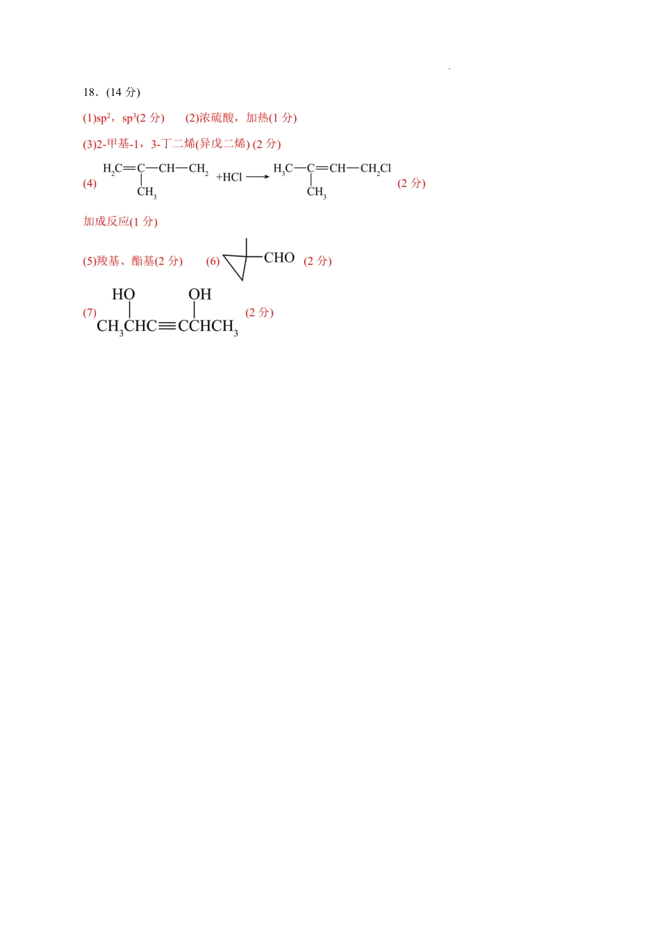
2/2
2025 年 1 月“八省联考”考前猜想卷化学参考答案一、选择题:本题共 14 小题,每小题 3 分,共 42 分。在每小题给出的四个选项中,只有一项是符合题目要求的。1234567891011121314BBBDCBBBCADCBD二、非选择题:本题共 4 小题,共 58 分。15.(15 分)(1)圆底烧瓶(1 分)b(1 分)(2)防止温度过高,反应速率过快(2 分)(3) CrO3+2HCl=CrO2Cl2...

1、当您付费下载文档后,您只拥有了使用权限,并不意味着购买了版权,文档只能用于自身使用,不得用于其他商业用途(如 [转卖]进行直接盈利或[编辑后售卖]进行间接盈利)。
2、本站所有内容均由合作方或网友上传,本站不对文档的完整性、权威性及其观点立场正确性做任何保证或承诺!文档内容仅供研究参考,付费前请自行鉴别。
3、如文档内容存在违规,或者侵犯商业秘密、侵犯著作权等,请点击“违规举报”。

1.电子资料成功下载后不支持退换,如发现资料有内容错误问题请联系客服,如若属实,我们会补偿您的损失

2.压缩包下载后请先用软件解压,再使用对应软件打开;软件版本较低时请及时更新

3.资料下载成功后可在60天以内免费重复下载


八省2025届高三“八省联考”考前猜想卷化学(14+4)答案.pdf

您可能关注的文档

爱学习驿站+ 关注
实名认证
内容提供者

爱学习驿站

确认删除?
回到顶部
QQ客服
  • 天空点击这里给我发消息