电脑桌面
添加学科云到电脑桌面
安装后可以在桌面快捷访问

北师大版七年级数学下《多项式除以单项式》同步练习.doc

北师大版七年级数学下《多项式除以单项式》同步练习.doc_第1页
1/5
北师大版七年级数学下《多项式除以单项式》同步练习.doc_第2页
2/5
北师大版七年级数学下《多项式除以单项式》同步练习.doc_第3页
3/5
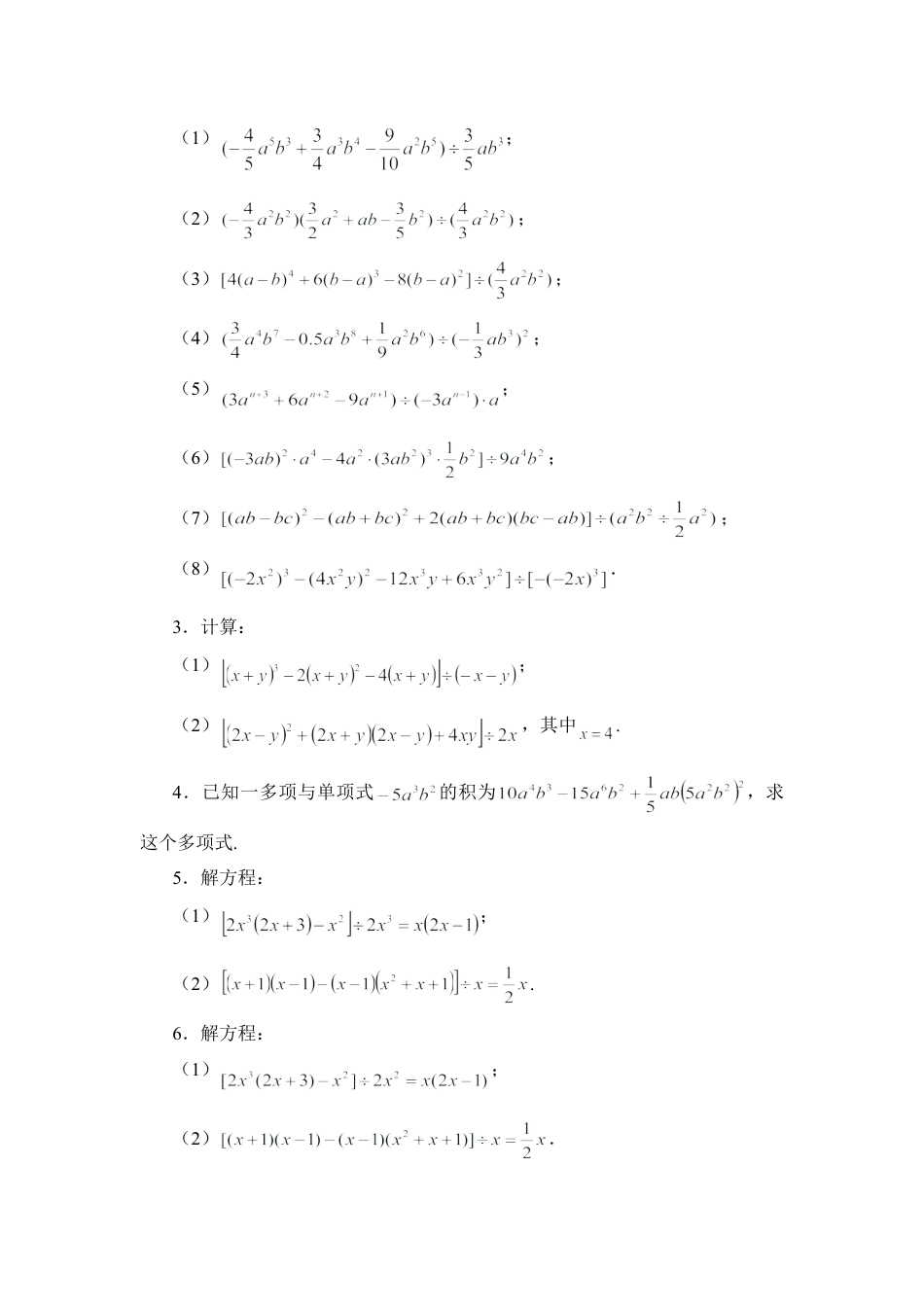
1.9.2 多项式除以单项式一、选择题1.的结果是( ).A. B.C. D.2.以下各式运算正确的是( ).A. B.C. D.3.若,那么为( ).A. B. C. D.4.( ).A.-9 B.-8 C. D.5.的结果是( ).A. B. C. D.6.在①,②,③,④中,不正确的个数有( ).A.1 个 B.2 个 C.3 个 D.4 个7.若,那么为( ).A...

1、当您付费下载文档后,您只拥有了使用权限,并不意味着购买了版权,文档只能用于自身使用,不得用于其他商业用途(如 [转卖]进行直接盈利或[编辑后售卖]进行间接盈利)。
2、本站所有内容均由合作方或网友上传,本站不对文档的完整性、权威性及其观点立场正确性做任何保证或承诺!文档内容仅供研究参考,付费前请自行鉴别。
3、如文档内容存在违规,或者侵犯商业秘密、侵犯著作权等,请点击“违规举报”。

1.电子资料成功下载后不支持退换,如发现资料有内容错误问题请联系客服,如若属实,我们会补偿您的损失

2.压缩包下载后请先用软件解压,再使用对应软件打开;软件版本较低时请及时更新

3.资料下载成功后可在60天以内免费重复下载


北师大版七年级数学下《多项式除以单项式》同步练习.doc

您可能关注的文档

星辰资料铺+ 关注
实名认证
内容提供者

星辰资料铺

确认删除?
回到顶部
QQ客服
  • 天空点击这里给我发消息