电脑桌面
添加学科云到电脑桌面
安装后可以在桌面快捷访问

新人教版高中数学选择必修第一册同步PPT课件-3.1.2 椭圆的简单几何性质(第2课时 椭圆的离心率问题).pptx

新人教版高中数学选择必修第一册同步PPT课件-3.1.2 椭圆的简单几何性质(第2课时 椭圆的离心率问题).pptx新人教版高中数学选择必修第一册同步PPT课件-3.1.2 椭圆的简单几何性质(第2课时 椭圆的离心率问题).pptx新人教版高中数学选择必修第一册同步PPT课件-3.1.2 椭圆的简单几何性质(第2课时 椭圆的离心率问题).pptx新人教版高中数学选择必修第一册同步PPT课件-3.1.2 椭圆的简单几何性质(第2课时 椭圆的离心率问题).pptx
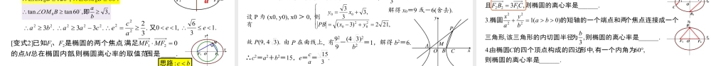
3.1.2 椭圆的简单几何性质(第 2 课时)椭圆的离心率问题求离心率的3种方法法 3: 看到点在曲线上可考虑将点的坐标 ( 含 a,b,c) 代回曲线中法 2: 找 a,b,c 的关系式 , 利用等量代换法 1: 有焦点三角形时用定义法注:求曲线的离心率只需要找出一个关于 a,b,c 的等式关系即可 .ace ac22||||||2121PFPFFFsinsin)sin(...

1、当您付费下载文档后,您只拥有了使用权限,并不意味着购买了版权,文档只能用于自身使用,不得用于其他商业用途(如 [转卖]进行直接盈利或[编辑后售卖]进行间接盈利)。
2、本站所有内容均由合作方或网友上传,本站不对文档的完整性、权威性及其观点立场正确性做任何保证或承诺!文档内容仅供研究参考,付费前请自行鉴别。
3、如文档内容存在违规,或者侵犯商业秘密、侵犯著作权等,请点击“违规举报”。

1.电子资料成功下载后不支持退换,如发现资料有内容错误问题请联系客服,如若属实,我们会补偿您的损失

2.压缩包下载后请先用软件解压,再使用对应软件打开;软件版本较低时请及时更新

3.资料下载成功后可在60天以内免费重复下载


新人教版高中数学选择必修第一册同步PPT课件-3.1.2 椭圆的简单几何性质(第2课时 椭圆的离心率问题).pptx

您可能关注的文档

星辰资料铺+ 关注
实名认证
内容提供者

星辰资料铺

确认删除?
回到顶部
QQ客服
  • 天空点击这里给我发消息