电脑桌面
添加学科云到电脑桌面
安装后可以在桌面快捷访问

数学九年级上册-压轴题专项-专题1.4 二次函数综合——特殊三角形问题(压轴题专项讲练)(浙教版)(学生版).docx

数学九年级上册-压轴题专项-专题1.4 二次函数综合——特殊三角形问题(压轴题专项讲练)(浙教版)(学生版).docx_第1页
1/24
数学九年级上册-压轴题专项-专题1.4 二次函数综合——特殊三角形问题(压轴题专项讲练)(浙教版)(学生版).docx_第2页
2/24
数学九年级上册-压轴题专项-专题1.4 二次函数综合——特殊三角形问题(压轴题专项讲练)(浙教版)(学生版).docx_第3页
3/24
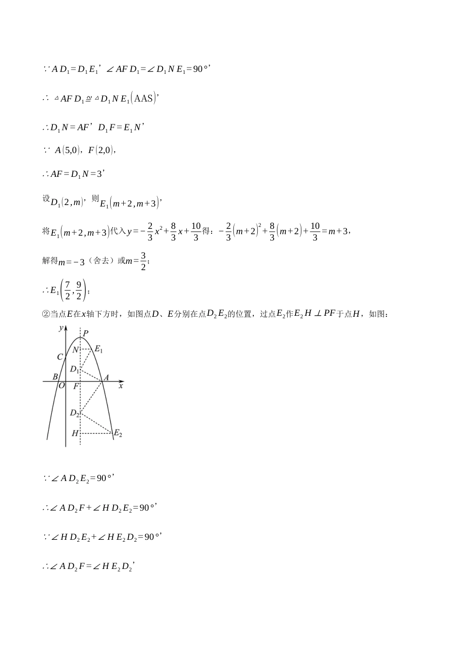
专题 1.4 二次函数综合——特殊三角形问题【典例 1】如图,抛物线的顶点坐标为P(2,6),且与x轴交于点A、B(点A在点B的右侧),与 y 轴交于点C(0, 103 ),点D为该抛物线的对称轴上的点. (1)求该抛物线的函数表达式和点A的坐标;(2)在对称轴右侧的抛物线上是否存在点E,使得△ ADE是以D为直角顶点的等腰直角三角形?若存在,求出点E的坐标;若...

1、当您付费下载文档后,您只拥有了使用权限,并不意味着购买了版权,文档只能用于自身使用,不得用于其他商业用途(如 [转卖]进行直接盈利或[编辑后售卖]进行间接盈利)。
2、本站所有内容均由合作方或网友上传,本站不对文档的完整性、权威性及其观点立场正确性做任何保证或承诺!文档内容仅供研究参考,付费前请自行鉴别。
3、如文档内容存在违规,或者侵犯商业秘密、侵犯著作权等,请点击“违规举报”。

1.电子资料成功下载后不支持退换,如发现资料有内容错误问题请联系客服,如若属实,我们会补偿您的损失

2.压缩包下载后请先用软件解压,再使用对应软件打开;软件版本较低时请及时更新

3.资料下载成功后可在60天以内免费重复下载


数学九年级上册-压轴题专项-专题1.4 二次函数综合——特殊三角形问题(压轴题专项讲练)(浙教版)(学生版).docx

爱学习驿站+ 关注
实名认证
内容提供者

爱学习驿站

确认删除?
回到顶部
QQ客服
  • 天空点击这里给我发消息