电脑桌面
添加学科云到电脑桌面
安装后可以在桌面快捷访问

人教版数学七年级上册-教案-第2课时 有理数的加法运算律.docx

人教版数学七年级上册-教案-第2课时 有理数的加法运算律.docx_第1页
1/5
人教版数学七年级上册-教案-第2课时 有理数的加法运算律.docx_第2页
2/5
人教版数学七年级上册-教案-第2课时 有理数的加法运算律.docx_第3页
3/5
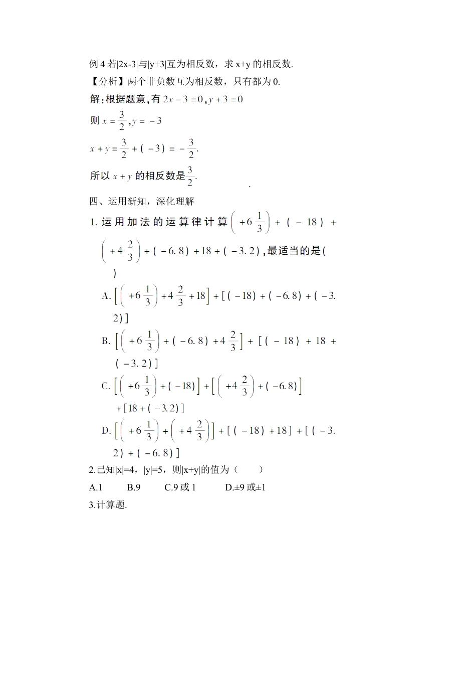
第 2 课时 有理数的加法运算律【知识与技能】1.能运用加法运算律简化加法运算.2.理解加法运算律在加法运算中的作用,适当进行推理训练.【过程与方法】1.培养学生的观察能力和思维能力.2.经历有理数的运算律的应用,领悟解决问题应选择适当的方法.【情感态度】在数学学习中获得成功的体验.【教学重点】如何运用加法运算律简化运算.【教学难点】灵活运用...

1、当您付费下载文档后,您只拥有了使用权限,并不意味着购买了版权,文档只能用于自身使用,不得用于其他商业用途(如 [转卖]进行直接盈利或[编辑后售卖]进行间接盈利)。
2、本站所有内容均由合作方或网友上传,本站不对文档的完整性、权威性及其观点立场正确性做任何保证或承诺!文档内容仅供研究参考,付费前请自行鉴别。
3、如文档内容存在违规,或者侵犯商业秘密、侵犯著作权等,请点击“违规举报”。

1.电子资料成功下载后不支持退换,如发现资料有内容错误问题请联系客服,如若属实,我们会补偿您的损失

2.压缩包下载后请先用软件解压,再使用对应软件打开;软件版本较低时请及时更新

3.资料下载成功后可在60天以内免费重复下载


人教版数学七年级上册-教案-第2课时 有理数的加法运算律.docx

确认删除?
回到顶部
QQ客服
  • 天空点击这里给我发消息