电脑桌面
添加学科云到电脑桌面
安装后可以在桌面快捷访问

3.4一元一次不等式组——解不等式练习鲁教版数学八年级上册 .docx

3.4一元一次不等式组——解不等式练习鲁教版数学八年级上册  .docx_第1页
1/16
3.4一元一次不等式组——解不等式练习鲁教版数学八年级上册  .docx_第2页
2/16
3.4一元一次不等式组——解不等式练习鲁教版数学八年级上册  .docx_第3页
3/16
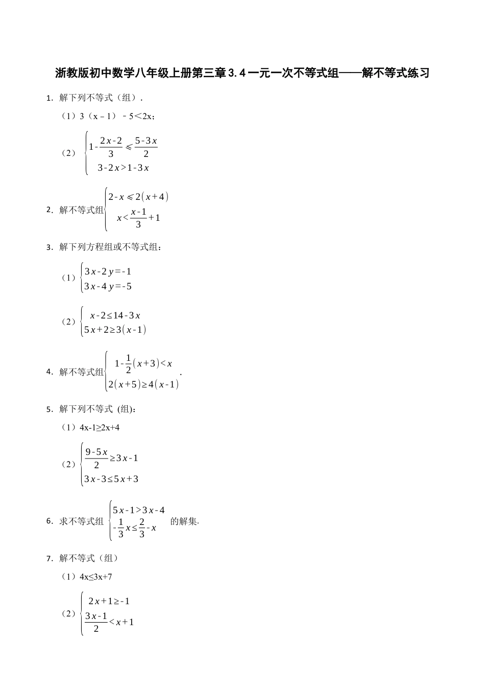
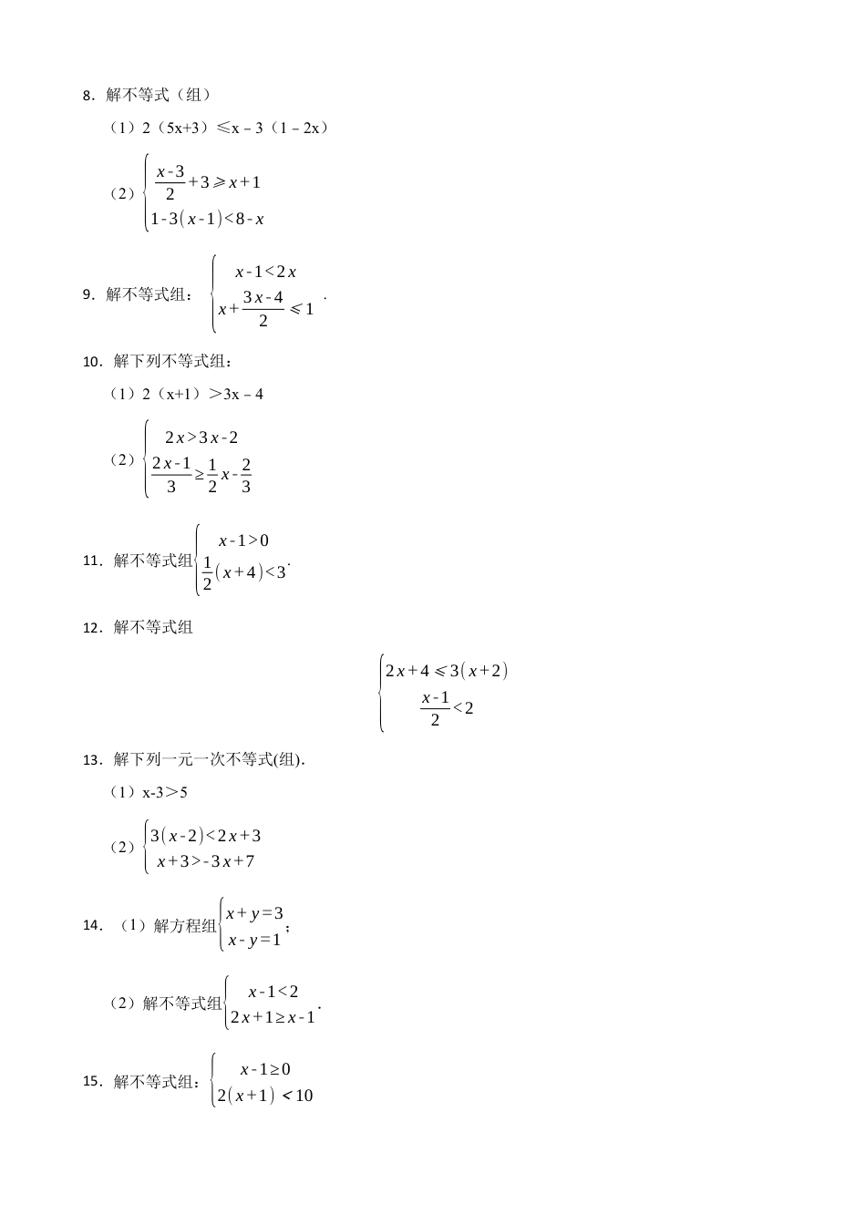
浙教版初中数学八年级上册第三章 3.4 一元一次不等式组——解不等式练习1.解下列不等式(组). (1)3(x1﹣ )﹣5<2x; (2) {1- 2 x -23⩽ 5-3 x23-2 x>1-3 x2.解不等式组{2- x⩽ 2( x + 4)x< x -13 +13.解下列方程组或不等式组:(1){3 x -2 y =-13 x -4 y =-5(2){x -2≤14 -3 x5 x +2≥3( x -1)4.解不...

1、当您付费下载文档后,您只拥有了使用权限,并不意味着购买了版权,文档只能用于自身使用,不得用于其他商业用途(如 [转卖]进行直接盈利或[编辑后售卖]进行间接盈利)。
2、本站所有内容均由合作方或网友上传,本站不对文档的完整性、权威性及其观点立场正确性做任何保证或承诺!文档内容仅供研究参考,付费前请自行鉴别。
3、如文档内容存在违规,或者侵犯商业秘密、侵犯著作权等,请点击“违规举报”。

1.电子资料成功下载后不支持退换,如发现资料有内容错误问题请联系客服,如若属实,我们会补偿您的损失

2.压缩包下载后请先用软件解压,再使用对应软件打开;软件版本较低时请及时更新

3.资料下载成功后可在60天以内免费重复下载


3.4一元一次不等式组——解不等式练习鲁教版数学八年级上册 .docx

您可能关注的文档

星辰资料铺+ 关注
实名认证
内容提供者

星辰资料铺

确认删除?
回到顶部
QQ客服
  • 天空点击这里给我发消息