电脑桌面
添加学科云到电脑桌面
安装后可以在桌面快捷访问

同底数幂的除法 巩固练习冀教版七年级数学下册.docx

同底数幂的除法 巩固练习冀教版七年级数学下册.docx_第1页
1/4
同底数幂的除法 巩固练习冀教版七年级数学下册.docx_第2页
2/4
同底数幂的除法 巩固练习冀教版七年级数学下册.docx_第3页
3/4
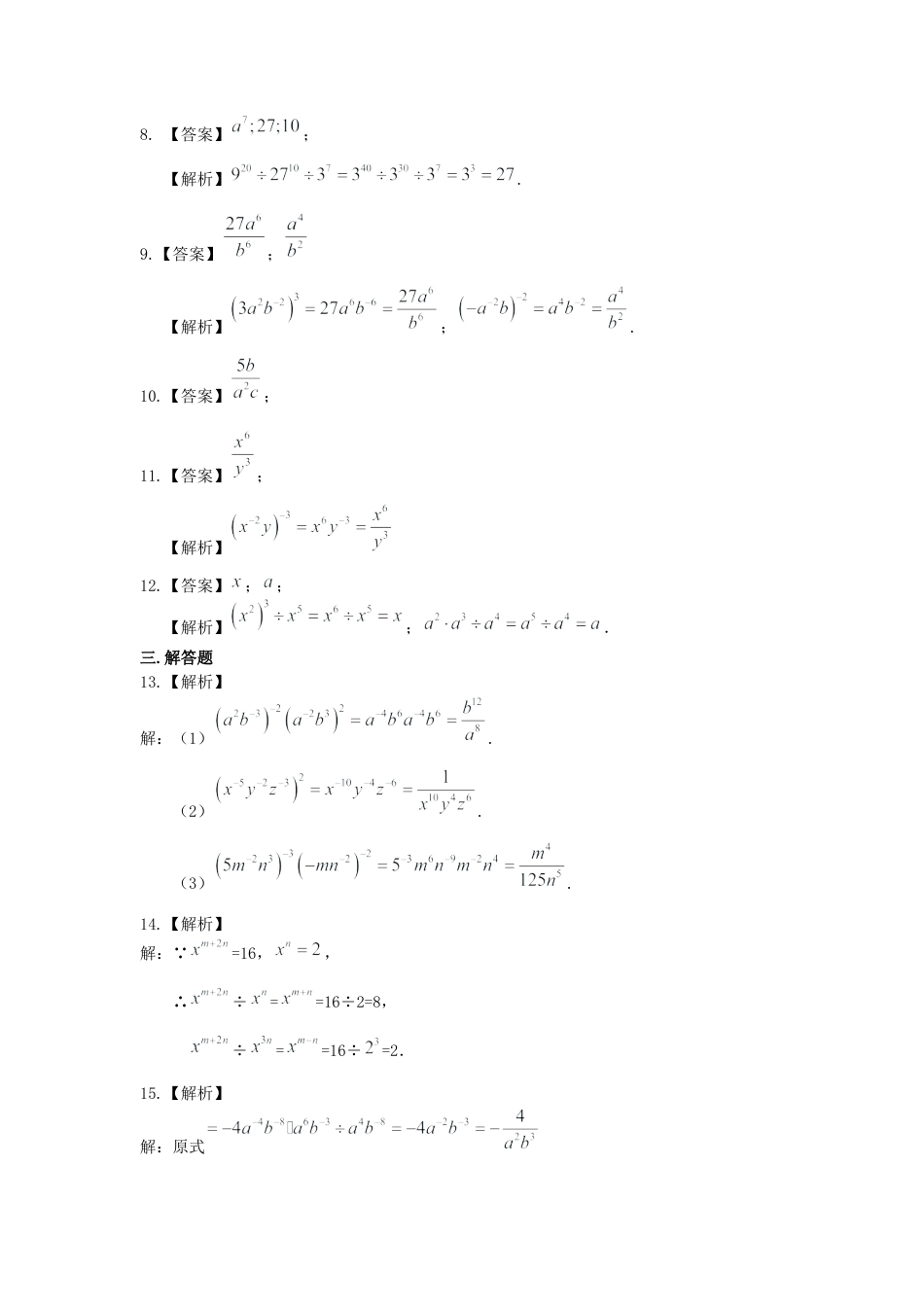
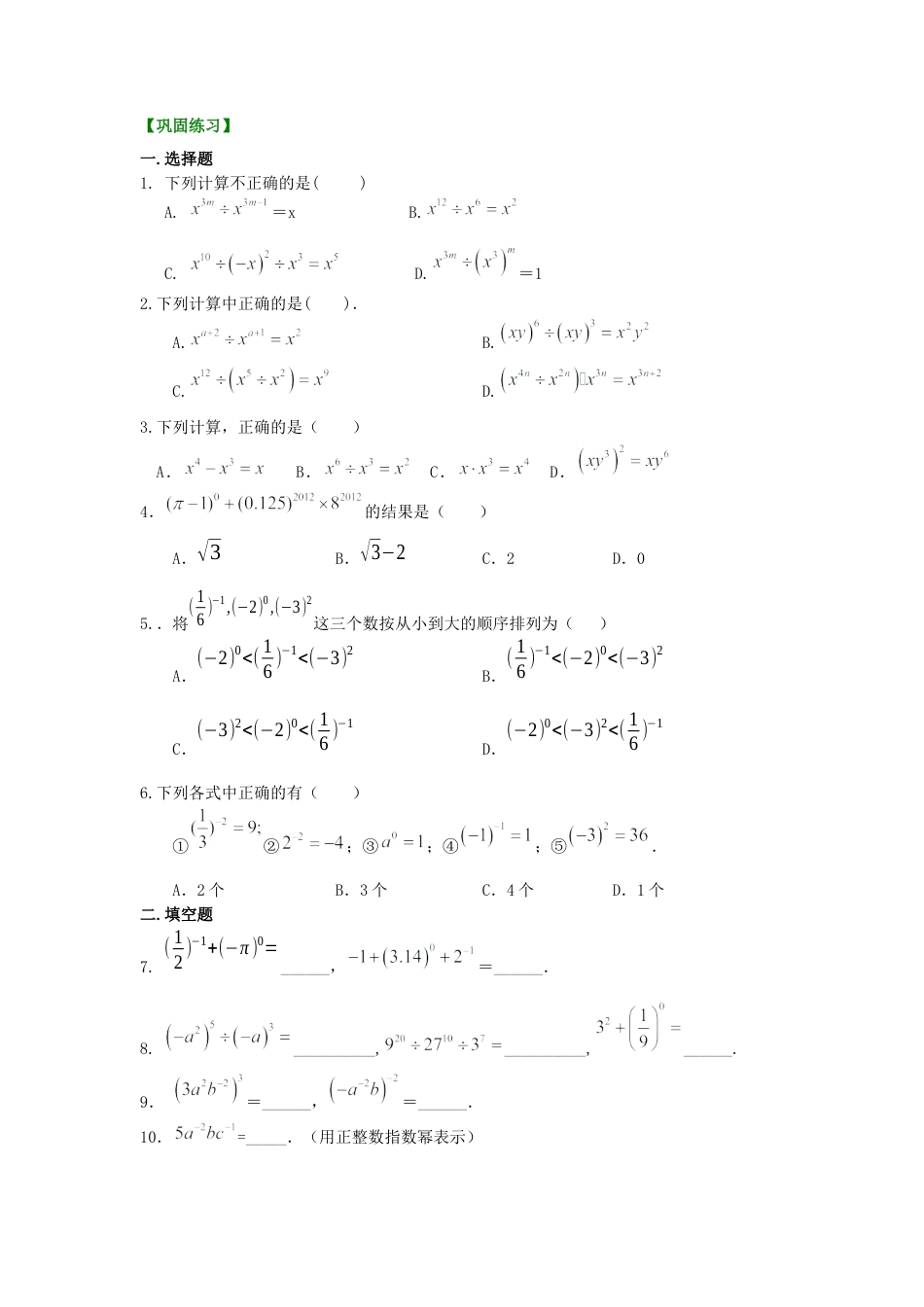
【巩固练习】一.选择题1. 下列计算不正确的是( )A. =xB.C. D.=12.下列计算中正确的是( ).A.B.C.D. 3.下列计算,正确的是( )A. B. C. D.4.的结果是( )A.√3B.√3−2C.2D.05..将( 16 )−1,(−2)0,(−3)2这三个数按从小到大的顺序排列为( )A.(−2)0<( 16 )−1<(−3)2B.( 16 )−1<(−2)0<(−3)2C.(−3)2<(−2)0<( 16...

1、当您付费下载文档后,您只拥有了使用权限,并不意味着购买了版权,文档只能用于自身使用,不得用于其他商业用途(如 [转卖]进行直接盈利或[编辑后售卖]进行间接盈利)。
2、本站所有内容均由合作方或网友上传,本站不对文档的完整性、权威性及其观点立场正确性做任何保证或承诺!文档内容仅供研究参考,付费前请自行鉴别。
3、如文档内容存在违规,或者侵犯商业秘密、侵犯著作权等,请点击“违规举报”。

1.电子资料成功下载后不支持退换,如发现资料有内容错误问题请联系客服,如若属实,我们会补偿您的损失

2.压缩包下载后请先用软件解压,再使用对应软件打开;软件版本较低时请及时更新

3.资料下载成功后可在60天以内免费重复下载


同底数幂的除法 巩固练习冀教版七年级数学下册.docx

阳光教育+ 关注
实名认证
内容提供者

中小学原创教育资源发布!

确认删除?
回到顶部
QQ客服
  • 天空点击这里给我发消息