电脑桌面
添加学科云到电脑桌面
安装后可以在桌面快捷访问

四川省达州市普通高中2025届第二次诊断性测试数学答案.pdf

四川省达州市普通高中2025届第二次诊断性测试数学答案.pdf_第1页
1/4
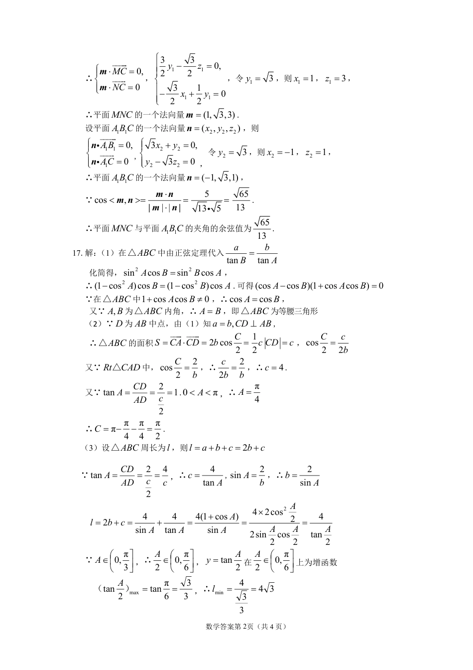
四川省达州市普通高中2025届第二次诊断性测试数学答案.pdf_第2页
2/4
四川省达州市普通高中2025届第二次诊断性测试数学答案.pdf_第3页
3/4
数学答案第 1页(共 4 页)达州市普通高中2025届第二次诊断性测试数学参考答案1.D2.C3.A4.B5.A6.A7.B8.C9.BC10.AC11.ABD12.6013.π222e14.12或015.解:(1)由题知体重在50,40,60,50,70,60的频率分别为05.0,25.0,4.0.∴中位数 x 位于70,60内则5.004.0)60(25.005.0x,解得65x∴样本体重的中位数为65(2)设体重在...

1、当您付费下载文档后,您只拥有了使用权限,并不意味着购买了版权,文档只能用于自身使用,不得用于其他商业用途(如 [转卖]进行直接盈利或[编辑后售卖]进行间接盈利)。
2、本站所有内容均由合作方或网友上传,本站不对文档的完整性、权威性及其观点立场正确性做任何保证或承诺!文档内容仅供研究参考,付费前请自行鉴别。
3、如文档内容存在违规,或者侵犯商业秘密、侵犯著作权等,请点击“违规举报”。

1.电子资料成功下载后不支持退换,如发现资料有内容错误问题请联系客服,如若属实,我们会补偿您的损失

2.压缩包下载后请先用软件解压,再使用对应软件打开;软件版本较低时请及时更新

3.资料下载成功后可在60天以内免费重复下载


四川省达州市普通高中2025届第二次诊断性测试数学答案.pdf

您可能关注的文档

爱学习驿站+ 关注
实名认证
内容提供者

爱学习驿站

确认删除?
回到顶部
QQ客服
  • 天空点击这里给我发消息