电脑桌面
添加学科云到电脑桌面
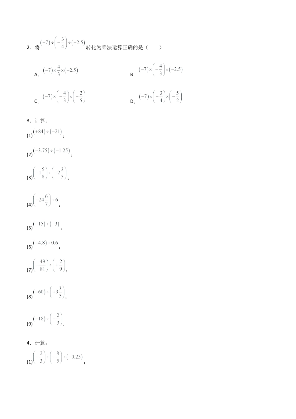
安装后可以在桌面快捷访问

【分层作业】数学六年级上册(鲁教版)2.4有理数的乘除运算(二)有理数的除法(学生版).docx

【分层作业】数学六年级上册(鲁教版)2.4有理数的乘除运算(二)有理数的除法(学生版).docx_第1页
1/5
【分层作业】数学六年级上册(鲁教版)2.4有理数的乘除运算(二)有理数的除法(学生版).docx_第2页
2/5
【分层作业】数学六年级上册(鲁教版)2.4有理数的乘除运算(二)有理数的除法(学生版).docx_第3页
3/5
2.42 有理数的乘除运算(二)---有理数的除法◆1、有理数除法法则(一).1. 两数相除,同号得正,异号得负,并把绝对值相除.2. 0 除以任何一个不为 0 的数,仍得 0. 3. 0 不能做除数.◆2、有理数除法法则(二) 除以一个不为 0 的数等于乘这个数的倒数. ◆将除法变成乘法,从前往后依次计算,能简便运算的先进行简便计算.题型一、有理数的除...

1、当您付费下载文档后,您只拥有了使用权限,并不意味着购买了版权,文档只能用于自身使用,不得用于其他商业用途(如 [转卖]进行直接盈利或[编辑后售卖]进行间接盈利)。
2、本站所有内容均由合作方或网友上传,本站不对文档的完整性、权威性及其观点立场正确性做任何保证或承诺!文档内容仅供研究参考,付费前请自行鉴别。
3、如文档内容存在违规,或者侵犯商业秘密、侵犯著作权等,请点击“违规举报”。

1.电子资料成功下载后不支持退换,如发现资料有内容错误问题请联系客服,如若属实,我们会补偿您的损失

2.压缩包下载后请先用软件解压,再使用对应软件打开;软件版本较低时请及时更新

3.资料下载成功后可在60天以内免费重复下载


【分层作业】数学六年级上册(鲁教版)2.4有理数的乘除运算(二)有理数的除法(学生版).docx

您可能关注的文档

星辰资料铺+ 关注
实名认证
内容提供者

星辰资料铺

确认删除?
回到顶部
QQ客服
  • 天空点击这里给我发消息