电脑桌面
添加学科云到电脑桌面
安装后可以在桌面快捷访问

新人教版高中数学选择必修第一册同步PPT课件-2.4 圆的方程(第1课时).pptx

新人教版高中数学选择必修第一册同步PPT课件-2.4 圆的方程(第1课时).pptx新人教版高中数学选择必修第一册同步PPT课件-2.4 圆的方程(第1课时).pptx新人教版高中数学选择必修第一册同步PPT课件-2.4 圆的方程(第1课时).pptx新人教版高中数学选择必修第一册同步PPT课件-2.4 圆的方程(第1课时).pptx
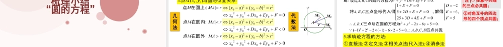
2.4 圆的方程 第 1 课时选择性必修第一册 第二章《直线和圆的方程》问题 1: 在平面直角坐标系中,确定一个圆的要素是什么 ?圆心位置半径大小yxOAM问题 2: 如何用圆心坐标 (a,b) 和半径 r 来表示圆上任意一点 (x,y) 中的 x,y 所满足的方程?rbyax22)()(222)()(rbyax}||{rMAM圆是平面上到定点的距离等于定长的点的集合...

1、当您付费下载文档后,您只拥有了使用权限,并不意味着购买了版权,文档只能用于自身使用,不得用于其他商业用途(如 [转卖]进行直接盈利或[编辑后售卖]进行间接盈利)。
2、本站所有内容均由合作方或网友上传,本站不对文档的完整性、权威性及其观点立场正确性做任何保证或承诺!文档内容仅供研究参考,付费前请自行鉴别。
3、如文档内容存在违规,或者侵犯商业秘密、侵犯著作权等,请点击“违规举报”。

1.电子资料成功下载后不支持退换,如发现资料有内容错误问题请联系客服,如若属实,我们会补偿您的损失

2.压缩包下载后请先用软件解压,再使用对应软件打开;软件版本较低时请及时更新

3.资料下载成功后可在60天以内免费重复下载


新人教版高中数学选择必修第一册同步PPT课件-2.4 圆的方程(第1课时).pptx

您可能关注的文档

星辰资料铺+ 关注
实名认证
内容提供者

星辰资料铺

确认删除?
回到顶部
QQ客服
  • 天空点击这里给我发消息