电脑桌面
添加学科云到电脑桌面
安装后可以在桌面快捷访问

河北省邯郸市2024-2025学年高一下学期4月期中考试 数学 Word版含解析.docx

河北省邯郸市2024-2025学年高一下学期4月期中考试 数学 Word版含解析.docx_第1页
1/17
河北省邯郸市2024-2025学年高一下学期4月期中考试 数学 Word版含解析.docx_第2页
2/17
河北省邯郸市2024-2025学年高一下学期4月期中考试 数学 Word版含解析.docx_第3页
3/17
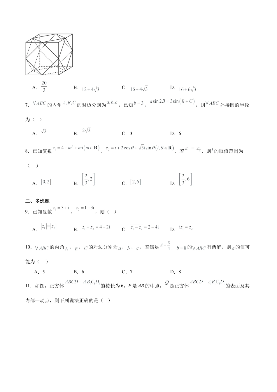
河北省邯郸市 2024-2025 学年高一下学期期中考试数学试题一、单选题1.已知点,,,则( )A.B.C.D.2.下列结论正确的是( )A.三个点确定一个平面B.若空间中两条直线没有公共点,则它们互相平行C.若一条直线上有无数个点在一个平面内,则这条直线在这个平面内D.若一条直线上有无数个点在一个平面外,则这条直线与这个平面平行3.复数在复平面...

1、当您付费下载文档后,您只拥有了使用权限,并不意味着购买了版权,文档只能用于自身使用,不得用于其他商业用途(如 [转卖]进行直接盈利或[编辑后售卖]进行间接盈利)。
2、本站所有内容均由合作方或网友上传,本站不对文档的完整性、权威性及其观点立场正确性做任何保证或承诺!文档内容仅供研究参考,付费前请自行鉴别。
3、如文档内容存在违规,或者侵犯商业秘密、侵犯著作权等,请点击“违规举报”。

1.电子资料成功下载后不支持退换,如发现资料有内容错误问题请联系客服,如若属实,我们会补偿您的损失

2.压缩包下载后请先用软件解压,再使用对应软件打开;软件版本较低时请及时更新

3.资料下载成功后可在60天以内免费重复下载


河北省邯郸市2024-2025学年高一下学期4月期中考试 数学 Word版含解析.docx

您可能关注的文档

确认删除?
回到顶部
QQ客服
  • 天空点击这里给我发消息