电脑桌面
添加学科云到电脑桌面
安装后可以在桌面快捷访问

2026年初中数学九年级上册-压轴题-专题1.8 图形中的动点问题——二次函数的应用(压轴题专项讲练)(浙教版)(教师版).docx

2026年初中数学九年级上册-压轴题-专题1.8 图形中的动点问题——二次函数的应用(压轴题专项讲练)(浙教版)(教师版).docx_第1页
1/58
2026年初中数学九年级上册-压轴题-专题1.8 图形中的动点问题——二次函数的应用(压轴题专项讲练)(浙教版)(教师版).docx_第2页
2/58
2026年初中数学九年级上册-压轴题-专题1.8 图形中的动点问题——二次函数的应用(压轴题专项讲练)(浙教版)(教师版).docx_第3页
3/58
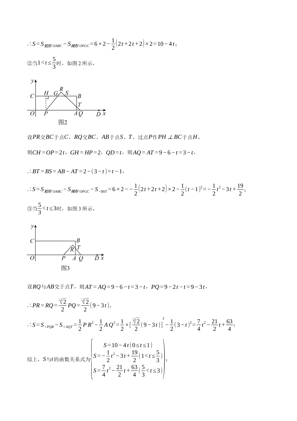
专题 1.8 图形中的动点问题——二次函数的应用 【典例 1】如图 1,矩形OABC顶点B的坐标为(6,2),定点D的坐标为(9,0),动点P从点O出发,以每秒2 个单位长度的速度沿x轴的正方向匀速运动,动点Q从点D出发,以每秒 1 个单位长度的速度沿x轴的负方向匀速运动,P、Q 两点同时运动,相遇时停止,在运动过程中,以PQ为斜边在x轴上方作等腰直角三角形PQR...

1、当您付费下载文档后,您只拥有了使用权限,并不意味着购买了版权,文档只能用于自身使用,不得用于其他商业用途(如 [转卖]进行直接盈利或[编辑后售卖]进行间接盈利)。
2、本站所有内容均由合作方或网友上传,本站不对文档的完整性、权威性及其观点立场正确性做任何保证或承诺!文档内容仅供研究参考,付费前请自行鉴别。
3、如文档内容存在违规,或者侵犯商业秘密、侵犯著作权等,请点击“违规举报”。

1.电子资料成功下载后不支持退换,如发现资料有内容错误问题请联系客服,如若属实,我们会补偿您的损失

2.压缩包下载后请先用软件解压,再使用对应软件打开;软件版本较低时请及时更新

3.资料下载成功后可在60天以内免费重复下载


2026年初中数学九年级上册-压轴题-专题1.8 图形中的动点问题——二次函数的应用(压轴题专项讲练)(浙教版)(教师版).docx

爱学习驿站+ 关注
实名认证
内容提供者

爱学习驿站

确认删除?
回到顶部
QQ客服
  • 天空点击这里给我发消息